Form DBPR CPA2 CPA Licensure Application - Florida

Form DBPR CPA2 CPA Licensure Application - Florida

What Is Form DBPR CPA2?

This is a legal form that was released by the Florida Department of Children and Families - a government authority operating within Florida. As of today, no separate filing guidelines for the form are provided by the issuing department.

FAQ

Q: What is the DBPR?
A: The DBPR stands for the Department of Business and Professional Regulation. It is the agency responsible for licensing and regulating various professionals in Florida, including Certified Public Accountants (CPAs).

Q: What does CPA stand for?
A: CPA stands for Certified Public Accountant. CPAs are professionals who have met the education and experience requirements and passed the Uniform CPA Examination to become licensed in their state.

Q: What is the CPA Licensure Application?
A: The CPA Licensure Application is a form that individuals need to complete in order to apply for a CPA license in Florida. It is used to collect personal information, education details, and verify whether the applicant meets the requirements for licensure.

Q: How do I obtain a CPA license in Florida?
A: To obtain a CPA license in Florida, you need to meet the education requirements, pass the Uniform CPA Examination, fulfill the experience requirements, and submit the CPA Licensure Application to the DBPR.

Q: What information is required in the CPA Licensure Application?
A: The CPA Licensure Application requires personal information (such as name, address, and contact details), education details (including transcripts and degree information), and information about any past professional licenses held.

Q: How long does it take to process the CPA Licensure Application?
A: The processing time for the CPA Licensure Application can vary. It depends on factors such as the completeness of the application, the volume of applications being processed, and any additional requirements or verifications needed.

ADVERTISEMENT

Form Details:

  • Released on August 1, 2017;
  • The latest edition provided by the Florida Department of Children and Families;
  • Easy to use and ready to print;
  • Quick to customize;
  • Compatible with most PDF-viewing applications;
  • Fill out the form in our online filing application.

Download a printable version of Form DBPR CPA2 by clicking the link below or browse more documents and templates provided by the Florida Department of Children and Families.

Download Form DBPR CPA2 CPA Licensure Application - Florida

4.8 of 5 (88 votes)
  • Form DBPR CPA2 CPA Licensure Application - Florida

    1

  • Form DBPR CPA2 CPA Licensure Application - Florida, Page 2

    2

  • Form DBPR CPA2 CPA Licensure Application - Florida, Page 3

    3

  • Form DBPR CPA2 CPA Licensure Application - Florida, Page 4

    4

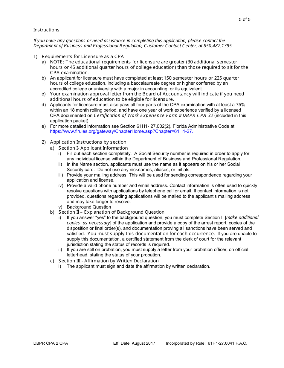
  • Form DBPR CPA2 CPA Licensure Application - Florida, Page 5

    5

  • Form DBPR CPA2 CPA Licensure Application - Florida, Page 6

    6

  • Form DBPR CPA2 CPA Licensure Application - Florida, Page 7

    7

  • Form DBPR CPA2 CPA Licensure Application - Florida, Page 1
  • Form DBPR CPA2 CPA Licensure Application - Florida, Page 2
  • Form DBPR CPA2 CPA Licensure Application - Florida, Page 3
  • Form DBPR CPA2 CPA Licensure Application - Florida, Page 4
  • Form DBPR CPA2 CPA Licensure Application - Florida, Page 5
  • Form DBPR CPA2 CPA Licensure Application - Florida, Page 6
  • Form DBPR CPA2 CPA Licensure Application - Florida, Page 7
Prev 1 2 3 4 5 ... 7 Next
ADVERTISEMENT