Mine Foremen / Fireboss Application Packet - Alabama

Mine Foremen / Fireboss Application Packet - Alabama

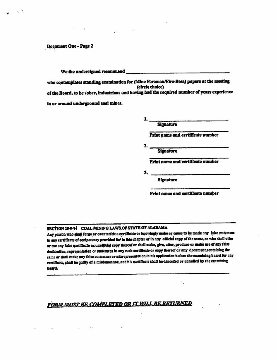
Mine Foremen/Fireboss Application Packet is a legal document that was released by the Alabama Department of Labor - a government authority operating within Alabama.

FAQ

Q: What is a Mine Foreman/Fireboss Application Packet?
A: It is a collection of documents required to apply for the position of Mine Foreman/Fireboss in Alabama.

Q: What is the role of a Mine Foreman/Fireboss?
A: A Mine Foreman/Fireboss is responsible for managing and supervising the operations of a mine, ensuring compliance with safety regulations and overseeing the work of miners.

Q: What documents are typically included in the application packet?
A: The application packet usually includes forms, guidelines, and instructions for completing the application, as well as any required certifications or qualifications.

Q: What are the requirements to apply for the position of Mine Foreman/Fireboss in Alabama?
A: The specific requirements may vary, but generally, applicants must have a certain amount of mining experience, hold appropriate certifications, and meet any other qualifications specified by the Alabama Mine Safety Office.

Q: How long does it take to process a Mine Foreman/Fireboss application?
A: The processing time can vary, but it typically takes several weeks to review and process the application.

Q: Are there any fees associated with the Mine Foreman/Fireboss application?
A: There may be fees associated with the application, such as application fees or fees for certification exams. The specific fees will be outlined in the application packet.

Q: Can I apply for multiple positions with the same application packet?
A: It depends on the requirements and guidelines provided in the application packet. Some packets may allow you to apply for multiple positions, while others may require separate applications for each position.

Q: What should I do if I have additional questions about the Mine Foreman/Fireboss Application Packet?
A: If you have additional questions, you should contact the Alabama Mine Safety Office directly for clarification and guidance.

ADVERTISEMENT

Form Details:

  • The latest edition currently provided by the Alabama Department of Labor;
  • Ready to use and print;
  • Easy to customize;
  • Compatible with most PDF-viewing applications;
  • Fill out the form in our online filing application.

Download a printable version of the form by clicking the link below or browse more documents and templates provided by the Alabama Department of Labor.

Download Mine Foremen / Fireboss Application Packet - Alabama

4.4 of 5 (53 votes)
  • Mine Foremen/Fireboss Application Packet - Alabama

    1

  • Mine Foremen/Fireboss Application Packet - Alabama, Page 2

    2

  • Mine Foremen/Fireboss Application Packet - Alabama, Page 3

    3

  • Mine Foremen/Fireboss Application Packet - Alabama, Page 4

    4

  • Mine Foremen/Fireboss Application Packet - Alabama, Page 5

    5

  • Mine Foremen / Fireboss Application Packet - Alabama, Page 1
  • Mine Foremen / Fireboss Application Packet - Alabama, Page 2
  • Mine Foremen / Fireboss Application Packet - Alabama, Page 3
  • Mine Foremen / Fireboss Application Packet - Alabama, Page 4
  • Mine Foremen / Fireboss Application Packet - Alabama, Page 5
Prev 1 2 3 4 5 Next
ADVERTISEMENT