Instructions for Form MO780-1718 Section 106 Survey Memo - Missouri

Instructions for Form MO780-1718 Section 106 Survey Memo - Missouri

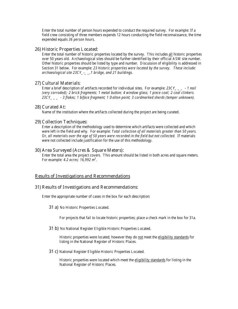
This document contains official instructions for Form MO780-1718 , Section 106 Survey Memo - a form released and collected by the Missouri Department of Natural Resources. An up-to-date fillable Form MO780-1718 is available for download through this link.

FAQ

Q: What is Form MO780-1718?
A: Form MO780-1718 is a survey memo document used in Missouri.

Q: What is the purpose of the Section 106 Survey Memo?
A: The purpose of the Section 106 Survey Memo is to document the assessment and evaluation of historic properties.

Q: Who needs to fill out Form MO780-1718?
A: The Section 106 Survey Memo is typically filled out by professionals involved in assessing historic properties.

Q: Are there any fees associated with filing Form MO780-1718?
A: There may be fees associated with filing Form MO780-1718. It is advisable to check with the Missouri State Historic Preservation Office for the current fee schedule.

Q: When is Form MO780-1718 due?
A: The deadline for submitting Form MO780-1718 may vary based on specific project requirements. It is important to refer to the instructions or consult with the Missouri State Historic Preservation Office for the applicable deadline.

ADVERTISEMENT

Instruction Details:

  • This 6-page document is available for download in PDF;
  • Actual and applicable for the current year;
  • Complete, printable, and free.

Download your copy of the instructions by clicking the link below or browse hundreds of other forms in our library of forms released by the Missouri Department of Natural Resources.

Download Instructions for Form MO780-1718 Section 106 Survey Memo - Missouri

4.3 of 5 (6 votes)
  • Instructions for Form MO780-1718 Section 106 Survey Memo - Missouri

    1

  • Instructions for Form MO780-1718 Section 106 Survey Memo - Missouri, Page 2

    2

  • Instructions for Form MO780-1718 Section 106 Survey Memo - Missouri, Page 3

    3

  • Instructions for Form MO780-1718 Section 106 Survey Memo - Missouri, Page 4

    4

  • Instructions for Form MO780-1718 Section 106 Survey Memo - Missouri, Page 5

    5

  • Instructions for Form MO780-1718 Section 106 Survey Memo - Missouri, Page 6

    6

  • Instructions for Form MO780-1718 Section 106 Survey Memo - Missouri, Page 1
  • Instructions for Form MO780-1718 Section 106 Survey Memo - Missouri, Page 2
  • Instructions for Form MO780-1718 Section 106 Survey Memo - Missouri, Page 3
  • Instructions for Form MO780-1718 Section 106 Survey Memo - Missouri, Page 4
  • Instructions for Form MO780-1718 Section 106 Survey Memo - Missouri, Page 5
  • Instructions for Form MO780-1718 Section 106 Survey Memo - Missouri, Page 6
Prev 1 2 3 4 5 6 Next
ADVERTISEMENT