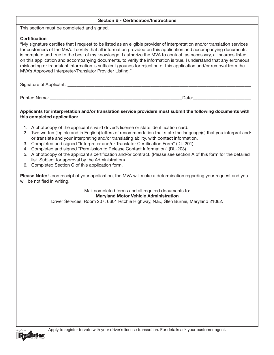
Form DL-200 Application to Provide Interpretation and / or Translation Services - Maryland

Notification Icon This version of the form is not currently in use and is provided for reference only. Download this version of Form DL-200 for the current year.

Form DL-200 Application to Provide Interpretation and / or Translation Services - Maryland

What Is Form DL-200?

This is a legal form that was released by the Maryland Department of Transportation - a government authority operating within Maryland. As of today, no separate filing guidelines for the form are provided by the issuing department.

FAQ

Q: What is the DL-200 Application?
A: The DL-200 Application is a form in Maryland used to apply for permission to provide interpretation and/or translation services.

Q: Who needs to fill out the DL-200 Application?
A: Individuals who want to offer interpretation and/or translation services in Maryland need to fill out the DL-200 Application.

Q: How do I submit the DL-200 Application?
A: You can submit the completed DL-200 Application form by mail to the Maryland Motor Vehicle Administration.

Q: What information do I need to provide on the DL-200 Application?
A: The DL-200 Application requires you to provide personal information, language skills, education, and experience related to interpretation and/or translation services.

Q: Is there a fee for submitting the DL-200 Application?
A: Yes, there is a $25 fee for submitting the DL-200 Application.

Q: How long does it take to process the DL-200 Application?
A: The processing time for the DL-200 Application varies, but it usually takes four to six weeks.

Q: What happens after my DL-200 Application is approved?
A: After your DL-200 Application is approved, you will receive a license that allows you to provide interpretation and/or translation services in Maryland.

ADVERTISEMENT

Form Details:

  • Released on July 1, 2015;
  • The latest edition provided by the Maryland Department of Transportation;
  • Easy to use and ready to print;
  • Quick to customize;
  • Compatible with most PDF-viewing applications;
  • Fill out the form in our online filing application.

Download a fillable version of Form DL-200 by clicking the link below or browse more documents and templates provided by the Maryland Department of Transportation.

Download Form DL-200 Application to Provide Interpretation and / or Translation Services - Maryland

4.7 of 5 (25 votes)
  • Form DL-200 Application to Provide Interpretation and/or Translation Services - Maryland

    1

  • Form DL-200 Application to Provide Interpretation and/or Translation Services - Maryland, Page 2

    2

  • Form DL-200 Application to Provide Interpretation and/or Translation Services - Maryland, Page 3

    3

  • Form DL-200 Application to Provide Interpretation and / or Translation Services - Maryland, Page 1
  • Form DL-200 Application to Provide Interpretation and / or Translation Services - Maryland, Page 2
  • Form DL-200 Application to Provide Interpretation and / or Translation Services - Maryland, Page 3
Prev 1 2 3 Next
ADVERTISEMENT