Form WH-385-V Certification for Serious Injury or Illness of a Veteran for Military Caregiver Leave (Family and Medical Leave Act)

Notification Icon This version of the form is not currently in use and is provided for reference only. Download this version of Form WH-385-V for the current year.

Form WH-385-V Certification for Serious Injury or Illness of a Veteran for Military Caregiver Leave (Family and Medical Leave Act)

What Is Form WH-385-V?

This is a legal form that was released by the U.S. Department of Labor - Wage and Hour Division on May 1, 2015 and used country-wide. As of today, no separate filing guidelines for the form are provided by the issuing department.

FAQ

Q: What is Form WH-385-V?
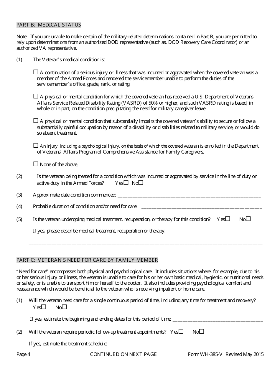
A: Form WH-385-V is a certification form used for Military Caregiver Leave under the Family and Medical Leave Act (FMLA) for the serious injury or illness of a veteran.

Q: Who uses Form WH-385-V?
A: Form WH-385-V is used by employees who are requesting leave to take care of a veteran with a serious injury or illness.

Q: What is Military Caregiver Leave?
A: Military Caregiver Leave is a provision under FMLA that allows eligible employees to take time off to care for certain veterans with serious injuries or illnesses.

Q: What is the purpose of Form WH-385-V?
A: Form WH-385-V is used to certify the need for Military Caregiver Leave. It provides information about the veteran's injury or illness and the employee's relationship to the veteran.

Q: Is Form WH-385-V mandatory?
A: Yes, if you are requesting Military Caregiver Leave for a veteran's serious injury or illness, you must submit a completed Form WH-385-V to your employer.

Q: What should I include in Form WH-385-V?
A: You should provide accurate and detailed information about the veteran's condition, including the diagnosis, treatment, and the need for your assistance as a caregiver.

Q: Are there any deadlines for submitting Form WH-385-V?
A: Yes, you should submit the completed form to your employer as soon as practicable. It is recommended to submit it within 15 days of the request for leave.

Q: Do I need to provide any supporting documents with Form WH-385-V?
A: Yes, you may be required to provide additional medical documentation or other supporting evidence to establish the need for Military Caregiver Leave.

Q: What happens after I submit Form WH-385-V?
A: After you submit Form WH-385-V, your employer will review the information provided and determine if you are eligible for Military Caregiver Leave under FMLA.

ADVERTISEMENT

Form Details:

  • Released on May 1, 2015;
  • The latest available edition released by the U.S. Department of Labor - Wage and Hour Division;
  • Easy to use and ready to print;
  • Yours to fill out and keep for your records;
  • Compatible with most PDF-viewing applications;
  • Fill out the form in our online filing application.

Download a fillable version of Form WH-385-V by clicking the link below or browse more documents and templates provided by the U.S. Department of Labor - Wage and Hour Division.

Download Form WH-385-V Certification for Serious Injury or Illness of a Veteran for Military Caregiver Leave (Family and Medical Leave Act)

4.4 of 5 (98 votes)
  • Form WH-385-V Certification for Serious Injury or Illness of a Veteran for Military Caregiver Leave (Family and Medical Leave Act)

    1

  • Form WH-385-V Certification for Serious Injury or Illness of a Veteran for Military Caregiver Leave (Family and Medical Leave Act), Page 2

    2

  • Form WH-385-V Certification for Serious Injury or Illness of a Veteran for Military Caregiver Leave (Family and Medical Leave Act), Page 3

    3

  • Form WH-385-V Certification for Serious Injury or Illness of a Veteran for Military Caregiver Leave (Family and Medical Leave Act), Page 4

    4

  • Form WH-385-V Certification for Serious Injury or Illness of a Veteran for Military Caregiver Leave (Family and Medical Leave Act), Page 5

    5

  • Form WH-385-V Certification for Serious Injury or Illness of a Veteran for Military Caregiver Leave (Family and Medical Leave Act), Page 1
  • Form WH-385-V Certification for Serious Injury or Illness of a Veteran for Military Caregiver Leave (Family and Medical Leave Act), Page 2
  • Form WH-385-V Certification for Serious Injury or Illness of a Veteran for Military Caregiver Leave (Family and Medical Leave Act), Page 3
  • Form WH-385-V Certification for Serious Injury or Illness of a Veteran for Military Caregiver Leave (Family and Medical Leave Act), Page 4
  • Form WH-385-V Certification for Serious Injury or Illness of a Veteran for Military Caregiver Leave (Family and Medical Leave Act), Page 5
Prev 1 2 3 4 5 Next
ADVERTISEMENT