Form CCL.032 Request for Licensing Amendment - Kansas

Notification Icon This version of the form is not currently in use and is provided for reference only. Download this version of Form CCL.032 for the current year.

Form CCL.032 Request for Licensing Amendment - Kansas

What Is Form CCL.032?

This is a legal form that was released by the Kansas Department of Health & Environment - a government authority operating within Kansas. As of today, no separate filing guidelines for the form are provided by the issuing department.

FAQ

Q: What is Form CCL.032?
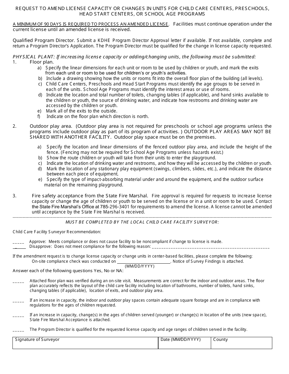
A: Form CCL.032 is a request for licensing amendment in the state of Kansas.

Q: What is the purpose of Form CCL.032?
A: The purpose of Form CCL.032 is to request an amendment to a licensing application or existing license for child care facilities in Kansas.

Q: Who needs to fill out Form CCL.032?
A: Child care facilities in Kansas that need to request a licensing amendment must fill out Form CCL.032.

Q: What information is required on Form CCL.032?
A: Form CCL.032 requires information such as the facility name, license number, requested amendment, and supporting documentation.

Q: Are there any fees associated with Form CCL.032?
A: There may be fees associated with the licensing amendment requested on Form CCL.032. Please refer to the fee schedule provided by the Kansas Department for Children and Families for more information.

Q: How do I submit Form CCL.032?
A: Form CCL.032 can be submitted by mail or in person to the Kansas Department for Children and Families.

Q: Is there a deadline for submitting Form CCL.032?
A: There may be specific deadlines for submitting Form CCL.032 depending on the nature of the licensing amendment. It is best to consult with the Kansas Department for Children and Families for specific deadlines.

Q: Can I make multiple amendments on one Form CCL.032?
A: Yes, multiple amendments can be requested on a single Form CCL.032, as long as they are related to the same facility.

Q: How long does it take to process a Form CCL.032?
A: The processing time for Form CCL.032 can vary depending on the complexity of the amendment. It is recommended to contact the Kansas Department for Children and Families for an estimate on processing time.

ADVERTISEMENT

Form Details:

  • Released on March 1, 2017;
  • The latest edition provided by the Kansas Department of Health & Environment;
  • Easy to use and ready to print;
  • Available in Spanish;
  • Quick to customize;
  • Compatible with most PDF-viewing applications;
  • Fill out the form in our online filing application.

Download a printable version of Form CCL.032 by clicking the link below or browse more documents and templates provided by the Kansas Department of Health & Environment.

Download Form CCL.032 Request for Licensing Amendment - Kansas

4.3 of 5 (58 votes)
  • Form CCL.032 Request for Licensing Amendment - Kansas

    1

  • Form CCL.032 Request for Licensing Amendment - Kansas, Page 2

    2

  • Form CCL.032 Request for Licensing Amendment - Kansas, Page 1
  • Form CCL.032 Request for Licensing Amendment - Kansas, Page 2
Prev 1 2 Next
ADVERTISEMENT