Add-A-site Checklist - Administrative Sponsors (Adding Traditional Child / Adult Facilities) - Georgia (United States)

Notification Icon This version of the form is not currently in use and is provided for reference only. Download this version of the document for the current year.

Add-A-site Checklist - Administrative Sponsors (Adding Traditional Child / Adult Facilities) - Georgia (United States)

Add-A-site Checklist - Administrative Sponsors (Adding Traditional Child/Adult Facilities) is a legal document that was released by the Georgia Department of Early Care and Learning - a government authority operating within Georgia (United States).

FAQ

Q: Who are the administrative sponsors for adding traditional child/adult facilities in Georgia?
A: The administrative sponsors for adding traditional child/adult facilities in Georgia are listed below.

Q: What is the purpose of the Add-A-site Checklist?
A: The Add-A-site Checklist is used for adding traditional child/adult facilities in Georgia.

Q: What is the checklist for administrative sponsors?
A: The checklist for administrative sponsors includes the required documentation and forms that need to be submitted for adding traditional child/adult facilities in Georgia.

Q: What are the steps for adding traditional child/adult facilities in Georgia?
A: The steps for adding traditional child/adult facilities in Georgia include completing the Add-A-site Checklist, submitting the required documentation and forms, and meeting the necessary criteria and regulations.

Q: Are there any specific requirements for administrative sponsors when adding traditional child/adult facilities in Georgia?
A: Yes, administrative sponsors must meet certain requirements including submitting the required documentation and forms, meeting the necessary criteria and regulations, and obtaining any necessary licenses or permits.

Q: What should I do if I have questions or need assistance with adding traditional child/adult facilities in Georgia?
A: If you have questions or need assistance, you should contact the relevant authority or agency responsible for overseeing the process of adding traditional child/adult facilities in Georgia.

ADVERTISEMENT

Form Details:

  • Released on September 1, 2016;
  • The latest edition currently provided by the Georgia Department of Early Care and Learning;
  • Ready to use and print;
  • Easy to customize;
  • Compatible with most PDF-viewing applications;
  • Fill out the form in our online filing application.

Download a printable version of the form by clicking the link below or browse more documents and templates provided by the Georgia Department of Early Care and Learning.

Download Add-A-site Checklist - Administrative Sponsors (Adding Traditional Child / Adult Facilities) - Georgia (United States)

4.7 of 5 (31 votes)
  • Add-A-site Checklist - Administrative Sponsors (Adding Traditional Child/Adult Facilities) - Georgia (United States)

    1

  • Add-A-site Checklist - Administrative Sponsors (Adding Traditional Child/Adult Facilities) - Georgia (United States), Page 2

    2

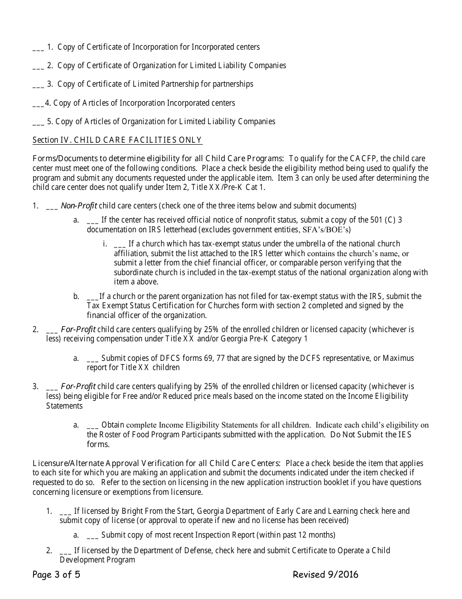
  • Add-A-site Checklist - Administrative Sponsors (Adding Traditional Child/Adult Facilities) - Georgia (United States), Page 3

    3

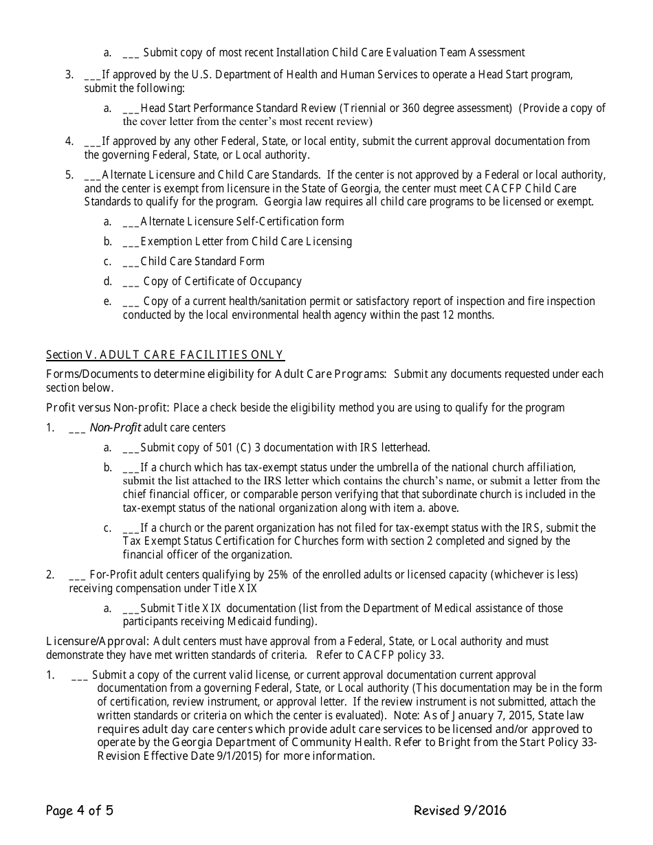
  • Add-A-site Checklist - Administrative Sponsors (Adding Traditional Child/Adult Facilities) - Georgia (United States), Page 4

    4

  • Add-A-site Checklist - Administrative Sponsors (Adding Traditional Child/Adult Facilities) - Georgia (United States), Page 5

    5

  • Add-A-site Checklist - Administrative Sponsors (Adding Traditional Child / Adult Facilities) - Georgia (United States), Page 1
  • Add-A-site Checklist - Administrative Sponsors (Adding Traditional Child / Adult Facilities) - Georgia (United States), Page 2
  • Add-A-site Checklist - Administrative Sponsors (Adding Traditional Child / Adult Facilities) - Georgia (United States), Page 3
  • Add-A-site Checklist - Administrative Sponsors (Adding Traditional Child / Adult Facilities) - Georgia (United States), Page 4
  • Add-A-site Checklist - Administrative Sponsors (Adding Traditional Child / Adult Facilities) - Georgia (United States), Page 5
Prev 1 2 3 4 5 Next
ADVERTISEMENT

Related Documents