Instructions for Applications for Bank Holding Company Formation and Acquisition - Georgia (United States)

Instructions for Applications for Bank Holding Company Formation and Acquisition - Georgia (United States)

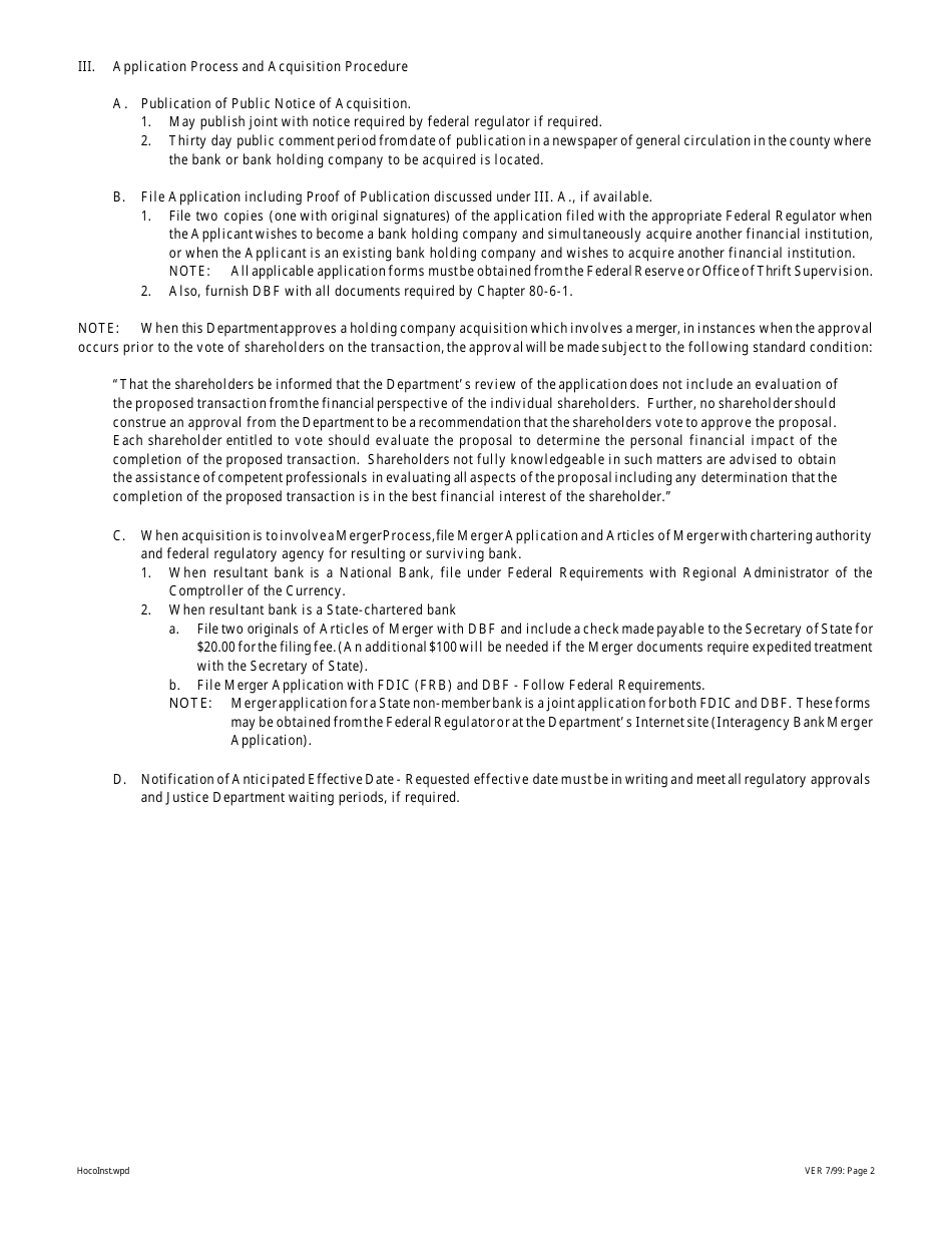
This document was released by Georgia Department of Banking and Finance and contains the most recent official instructions for Applications for Bank Holding Company Formation and Acquisition .

FAQ

Q: What is a bank holding company?
A: A bank holding company is a company that controls one or more banks.

Q: Why would someone want to form or acquire a bank holding company?
A: Forming or acquiring a bank holding company allows individuals or entities to have control over banks and their operations.

Q: What is the process for forming or acquiring a bank holding company in Georgia?
A: The specific process for forming or acquiring a bank holding company in Georgia can be found in the application instructions provided by the state.

Q: What information is required to be included in the application for a bank holding company?
A: The application typically requires detailed information about the company's ownership, finances, and management.

Q: Are there any fees associated with the application for a bank holding company?
A: Yes, there may be fees associated with the application process. The specific fees can vary.

Q: Are there any regulations or requirements that must be met to form or acquire a bank holding company?
A: Yes, there are usually regulations and requirements set by the state and federal government that must be met.

Q: What are the benefits of forming or acquiring a bank holding company?
A: Benefits can include expanded control over banking operations, potential financial benefits, and increased opportunities for growth and diversification.

Q: Can individuals or entities from outside of Georgia form or acquire a bank holding company in the state?
A: Yes, individuals or entities from outside of Georgia can typically form or acquire a bank holding company in the state, but they must still comply with all relevant regulations and requirements.

ADVERTISEMENT

Instruction Details:

  • This 2-page document is available for download in PDF;
  • Actual and applicable for the current year;
  • Complete, printable, and free.

Download your copy of the instructions by clicking the link below or browse hundreds of other forms in our library legal documents released by the Georgia Department of Banking and Finance.

Download Instructions for Applications for Bank Holding Company Formation and Acquisition - Georgia (United States)

4.7 of 5 (12 votes)
  • Instructions for Applications for Bank Holding Company Formation and Acquisition - Georgia (United States)

    1

  • Instructions for Applications for Bank Holding Company Formation and Acquisition - Georgia (United States), Page 2

    2

  • Instructions for Applications for Bank Holding Company Formation and Acquisition - Georgia (United States), Page 1
  • Instructions for Applications for Bank Holding Company Formation and Acquisition - Georgia (United States), Page 2
Prev 1 2 Next
ADVERTISEMENT

Related Documents