DNR Form 542-8010 Notification of an Iowa Training Fire-Demolition or a Controlled Burn of a Demolished Building - Iowa

DNR Form 542-8010 Notification of an Iowa Training Fire-Demolition or a Controlled Burn of a Demolished Building - Iowa

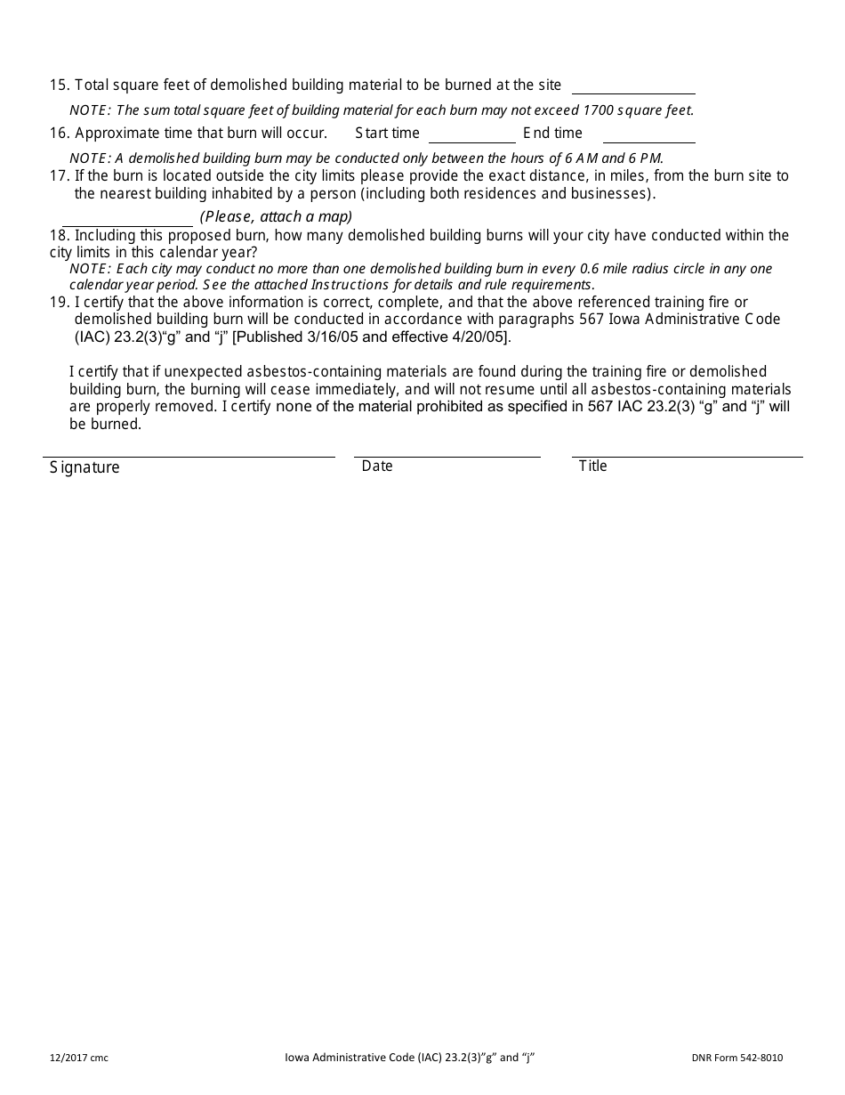
What Is DNR Form 542-8010?

This is a legal form that was released by the Iowa Department of Natural Resources - a government authority operating within Iowa. As of today, no separate filing guidelines for the form are provided by the issuing department.

FAQ

Q: What is DNR Form 542-8010?
A: DNR Form 542-8010 is a notification form for training fires or controlled burns of demolished buildings in Iowa.

Q: When is DNR Form 542-8010 used?
A: It is used when notifying the Iowa Department of Natural Resources (DNR) about training fires or controlled burns of demolished buildings.

Q: What is the purpose of the form?
A: The form notifies the DNR about the training fire or controlled burn for safety and regulatory purposes.

Q: Who needs to fill out DNR Form 542-8010?
A: Individuals or organizations planning a training fire or controlled burn of a demolished building in Iowa are required to fill out this form.

Q: Are there any fees associated with submitting the form?
A: There are no fees associated with submitting DNR Form 542-8010.

Q: What information is required on the form?
A: The form requires details such as the location, date, time, and purpose of the training fire or controlled burn.

Q: Is there a deadline for submitting the form?
A: There is no specific deadline mentioned for submitting the form, but it should be completed and submitted well in advance of the planned training fire or controlled burn.

Q: Who should I contact if I have questions about DNR Form 542-8010?
A: For any questions or clarifications regarding the form, you can contact your local Iowa DNR office.

ADVERTISEMENT

Form Details:

  • Released on December 1, 2017;
  • The latest edition provided by the Iowa Department of Natural Resources;
  • Easy to use and ready to print;
  • Quick to customize;
  • Compatible with most PDF-viewing applications;
  • Fill out the form in our online filing application.

Download a fillable version of DNR Form 542-8010 by clicking the link below or browse more documents and templates provided by the Iowa Department of Natural Resources.

Download DNR Form 542-8010 Notification of an Iowa Training Fire-Demolition or a Controlled Burn of a Demolished Building - Iowa

4.4 of 5 (65 votes)
  • DNR Form 542-8010 Notification of an Iowa Training Fire-Demolition or a Controlled Burn of a Demolished Building - Iowa

    1

  • DNR Form 542-8010 Notification of an Iowa Training Fire-Demolition or a Controlled Burn of a Demolished Building - Iowa, Page 2

    2

  • DNR Form 542-8010 Notification of an Iowa Training Fire-Demolition or a Controlled Burn of a Demolished Building - Iowa, Page 3

    3

  • DNR Form 542-8010 Notification of an Iowa Training Fire-Demolition or a Controlled Burn of a Demolished Building - Iowa, Page 4

    4

  • DNR Form 542-8010 Notification of an Iowa Training Fire-Demolition or a Controlled Burn of a Demolished Building - Iowa, Page 5

    5

  • DNR Form 542-8010 Notification of an Iowa Training Fire-Demolition or a Controlled Burn of a Demolished Building - Iowa, Page 6

    6

  • DNR Form 542-8010 Notification of an Iowa Training Fire-Demolition or a Controlled Burn of a Demolished Building - Iowa, Page 7

    7

  • DNR Form 542-8010 Notification of an Iowa Training Fire-Demolition or a Controlled Burn of a Demolished Building - Iowa, Page 8

    8

  • DNR Form 542-8010 Notification of an Iowa Training Fire-Demolition or a Controlled Burn of a Demolished Building - Iowa, Page 1
  • DNR Form 542-8010 Notification of an Iowa Training Fire-Demolition or a Controlled Burn of a Demolished Building - Iowa, Page 2
  • DNR Form 542-8010 Notification of an Iowa Training Fire-Demolition or a Controlled Burn of a Demolished Building - Iowa, Page 3
  • DNR Form 542-8010 Notification of an Iowa Training Fire-Demolition or a Controlled Burn of a Demolished Building - Iowa, Page 4
  • DNR Form 542-8010 Notification of an Iowa Training Fire-Demolition or a Controlled Burn of a Demolished Building - Iowa, Page 5
  • DNR Form 542-8010 Notification of an Iowa Training Fire-Demolition or a Controlled Burn of a Demolished Building - Iowa, Page 6
  • DNR Form 542-8010 Notification of an Iowa Training Fire-Demolition or a Controlled Burn of a Demolished Building - Iowa, Page 7
  • DNR Form 542-8010 Notification of an Iowa Training Fire-Demolition or a Controlled Burn of a Demolished Building - Iowa, Page 8
Prev 1 2 3 4 5 ... 8 Next
ADVERTISEMENT