DNR Form 542-0458 Stage 2 Disinfectants and Disinfection Byproduct Rule Monitoring Plan - Groundwater Systems Serving 25-9,999 People and Using Chlorine or Chloramines - Iowa

DNR Form 542-0458 Stage 2 Disinfectants and Disinfection Byproduct Rule Monitoring Plan - Groundwater Systems Serving 25-9,999 People and Using Chlorine or Chloramines - Iowa

What Is DNR Form 542-0458?

This is a legal form that was released by the Iowa Department of Natural Resources - a government authority operating within Iowa. As of today, no separate filing guidelines for the form are provided by the issuing department.

FAQ

Q: What is DNR Form 542-0458?
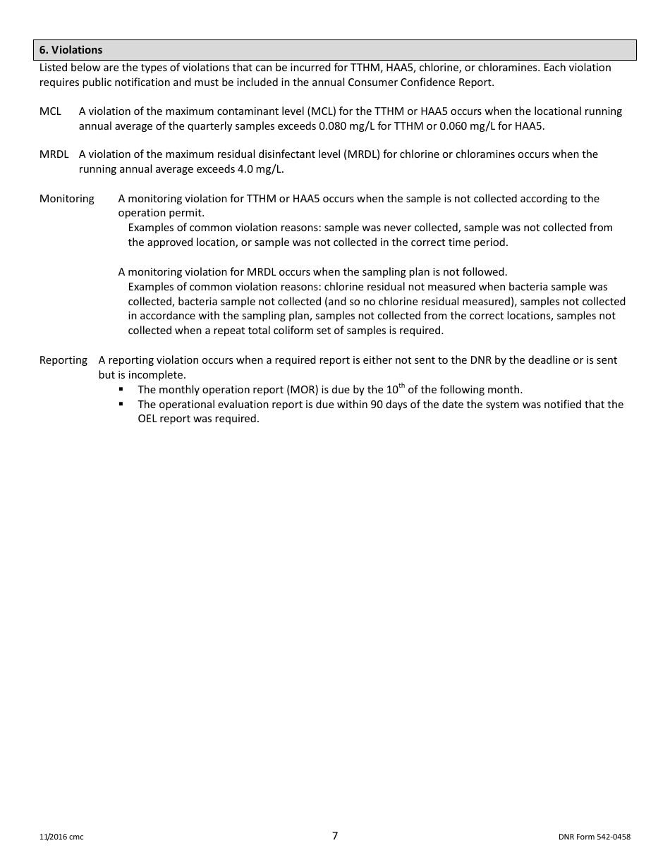
A: DNR Form 542-0458 is a monitoring plan for groundwater systems serving 25-9,999 people in Iowa that use chlorine or chloramines as disinfectants.

Q: What is the Stage 2 Disinfectants and Disinfection Byproduct Rule?
A: The Stage 2 Disinfectants and Disinfection Byproduct Rule is a regulation that sets limits on the levels of disinfectants and disinfection byproducts in drinking water.

Q: Who does the Monitoring Plan apply to?
A: The Monitoring Plan applies to groundwater systems in Iowa that serve 25-9,999 people and use chlorine or chloramines for disinfection.

Q: What is the purpose of the Monitoring Plan?
A: The purpose of the Monitoring Plan is to ensure that the levels of disinfectants and disinfection byproducts in drinking water from groundwater systems are within the limits set by the Stage 2 Disinfectants and Disinfection Byproduct Rule.

Q: What are disinfectants and disinfection byproducts?
A: Disinfectants are chemicals used to kill or inactivate potentially harmful microorganisms in drinking water. Disinfection byproducts are chemicals that are formed when disinfectants react with organic matter in water.

Q: Why are there limits on disinfectants and disinfection byproducts in drinking water?
A: Limits are in place to protect public health and ensure that the levels of disinfectants and disinfection byproducts in drinking water are not harmful to consumers.

ADVERTISEMENT

Form Details:

  • Released on November 1, 2016;
  • The latest edition provided by the Iowa Department of Natural Resources;
  • Easy to use and ready to print;
  • Quick to customize;
  • Compatible with most PDF-viewing applications;
  • Fill out the form in our online filing application.

Download a fillable version of DNR Form 542-0458 by clicking the link below or browse more documents and templates provided by the Iowa Department of Natural Resources.

Download DNR Form 542-0458 Stage 2 Disinfectants and Disinfection Byproduct Rule Monitoring Plan - Groundwater Systems Serving 25-9,999 People and Using Chlorine or Chloramines - Iowa

4.7 of 5 (64 votes)
  • DNR Form 542-0458 Stage 2 Disinfectants and Disinfection Byproduct Rule Monitoring Plan - Groundwater Systems Serving 25-9,999 People and Using Chlorine or Chloramines - Iowa

    1

  • DNR Form 542-0458 Stage 2 Disinfectants and Disinfection Byproduct Rule Monitoring Plan - Groundwater Systems Serving 25-9,999 People and Using Chlorine or Chloramines - Iowa, Page 2

    2

  • DNR Form 542-0458 Stage 2 Disinfectants and Disinfection Byproduct Rule Monitoring Plan - Groundwater Systems Serving 25-9,999 People and Using Chlorine or Chloramines - Iowa, Page 3

    3

  • DNR Form 542-0458 Stage 2 Disinfectants and Disinfection Byproduct Rule Monitoring Plan - Groundwater Systems Serving 25-9,999 People and Using Chlorine or Chloramines - Iowa, Page 4

    4

  • DNR Form 542-0458 Stage 2 Disinfectants and Disinfection Byproduct Rule Monitoring Plan - Groundwater Systems Serving 25-9,999 People and Using Chlorine or Chloramines - Iowa, Page 5

    5

  • DNR Form 542-0458 Stage 2 Disinfectants and Disinfection Byproduct Rule Monitoring Plan - Groundwater Systems Serving 25-9,999 People and Using Chlorine or Chloramines - Iowa, Page 6

    6

  • DNR Form 542-0458 Stage 2 Disinfectants and Disinfection Byproduct Rule Monitoring Plan - Groundwater Systems Serving 25-9,999 People and Using Chlorine or Chloramines - Iowa, Page 7

    7

  • DNR Form 542-0458 Stage 2 Disinfectants and Disinfection Byproduct Rule Monitoring Plan - Groundwater Systems Serving 25-9,999 People and Using Chlorine or Chloramines - Iowa, Page 1
  • DNR Form 542-0458 Stage 2 Disinfectants and Disinfection Byproduct Rule Monitoring Plan - Groundwater Systems Serving 25-9,999 People and Using Chlorine or Chloramines - Iowa, Page 2
  • DNR Form 542-0458 Stage 2 Disinfectants and Disinfection Byproduct Rule Monitoring Plan - Groundwater Systems Serving 25-9,999 People and Using Chlorine or Chloramines - Iowa, Page 3
  • DNR Form 542-0458 Stage 2 Disinfectants and Disinfection Byproduct Rule Monitoring Plan - Groundwater Systems Serving 25-9,999 People and Using Chlorine or Chloramines - Iowa, Page 4
  • DNR Form 542-0458 Stage 2 Disinfectants and Disinfection Byproduct Rule Monitoring Plan - Groundwater Systems Serving 25-9,999 People and Using Chlorine or Chloramines - Iowa, Page 5
  • DNR Form 542-0458 Stage 2 Disinfectants and Disinfection Byproduct Rule Monitoring Plan - Groundwater Systems Serving 25-9,999 People and Using Chlorine or Chloramines - Iowa, Page 6
  • DNR Form 542-0458 Stage 2 Disinfectants and Disinfection Byproduct Rule Monitoring Plan - Groundwater Systems Serving 25-9,999 People and Using Chlorine or Chloramines - Iowa, Page 7
Prev 1 2 3 4 5 ... 7 Next
ADVERTISEMENT