Class Member Treatment Planning Review Directions & Evidence - Maine

Class Member Treatment Planning Review Directions & Evidence - Maine

Class Member Treatment Planning Review Directions & Evidence is a legal document that was released by the Maine Department of Health and Human Services - a government authority operating within Maine.

FAQ

Q: What is Class Member Treatment Planning Review?
A: Class Member Treatment Planning Review is a process that assesses the treatment plans of individuals in a class action lawsuit.

Q: What is the purpose of the review?
A: The purpose of the review is to ensure that treatment plans are appropriate and sufficient for class members.

Q: Who conducts the review?
A: The review is conducted by a panel of qualified professionals.

Q: What evidence is considered in the review?
A: The panel considers various types of evidence, such as medical records, expert opinions, and treatment guidelines.

Q: What happens after the review?
A: After the review, the panel provides recommendations to the court regarding the adequacy of the treatment plans.

Q: How does the review benefit class members?
A: The review helps to ensure that class members receive appropriate and effective treatment for their conditions.

Q: Is the review mandatory?
A: Yes, the review is mandatory for class members in the specified lawsuit.

Q: Can class members provide additional evidence for the review?
A: Yes, class members can provide additional evidence to support their treatment plans during the review process.

Q: What if a class member's treatment plan is deemed inadequate?
A: If a class member's treatment plan is deemed inadequate, the panel may recommend changes or modifications to improve it.

Q: Can class members appeal the panel's decision?
A: Yes, class members have the right to appeal the panel's decision if they disagree with the findings or recommendations.

ADVERTISEMENT

Form Details:

  • Released on January 1, 2009;
  • The latest edition currently provided by the Maine Department of Health and Human Services;
  • Ready to use and print;
  • Easy to customize;
  • Compatible with most PDF-viewing applications;
  • Fill out the form in our online filing application.

Download a printable version of the form by clicking the link below or browse more documents and templates provided by the Maine Department of Health and Human Services.

Download Class Member Treatment Planning Review Directions & Evidence - Maine

4.3 of 5 (50 votes)
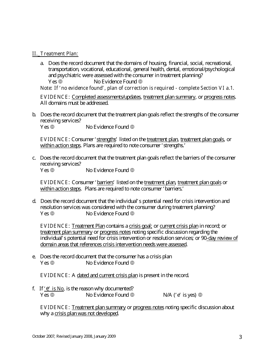
  • Class Member Treatment Planning Review Directions & Evidence - Maine

    1

  • Class Member Treatment Planning Review Directions & Evidence - Maine, Page 2

    2

  • Class Member Treatment Planning Review Directions & Evidence - Maine, Page 3

    3

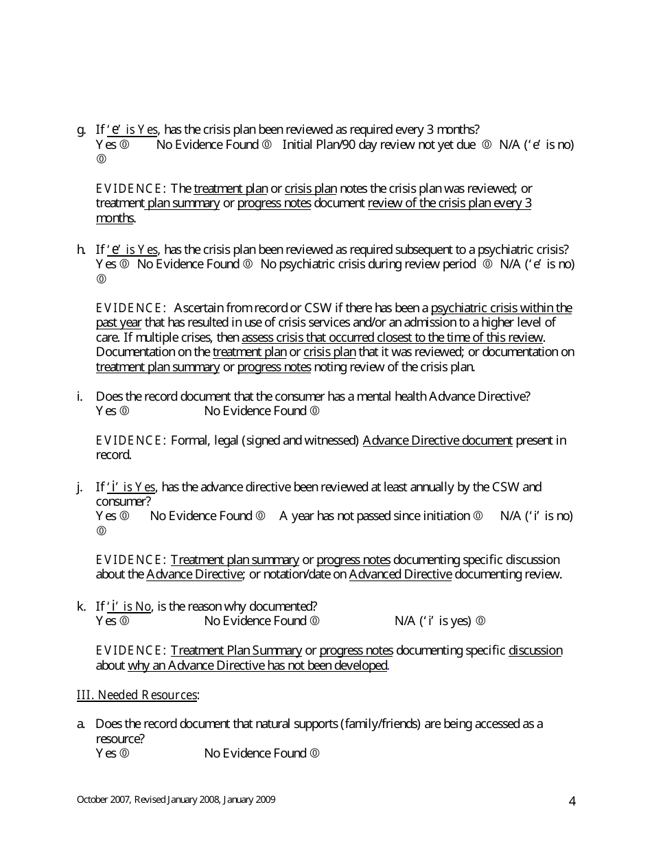
  • Class Member Treatment Planning Review Directions & Evidence - Maine, Page 4

    4

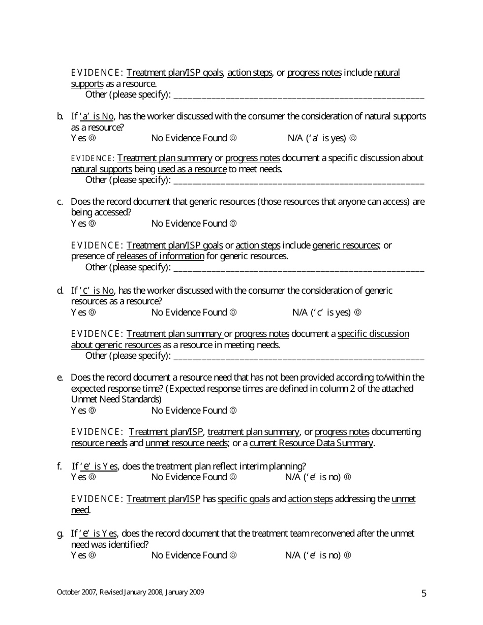
  • Class Member Treatment Planning Review Directions & Evidence - Maine, Page 5

    5

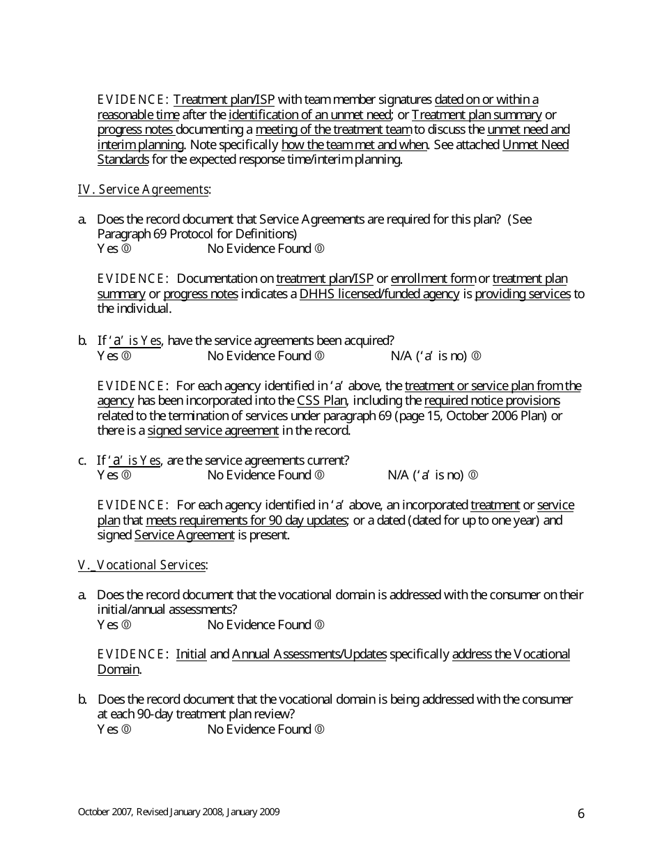
  • Class Member Treatment Planning Review Directions & Evidence - Maine, Page 6

    6

  • Class Member Treatment Planning Review Directions & Evidence - Maine, Page 7

    7

  • Class Member Treatment Planning Review Directions & Evidence - Maine, Page 8

    8

  • Class Member Treatment Planning Review Directions  Evidence - Maine, Page 1
  • Class Member Treatment Planning Review Directions  Evidence - Maine, Page 2
  • Class Member Treatment Planning Review Directions  Evidence - Maine, Page 3
  • Class Member Treatment Planning Review Directions  Evidence - Maine, Page 4
  • Class Member Treatment Planning Review Directions  Evidence - Maine, Page 5
  • Class Member Treatment Planning Review Directions  Evidence - Maine, Page 6
  • Class Member Treatment Planning Review Directions  Evidence - Maine, Page 7
  • Class Member Treatment Planning Review Directions  Evidence - Maine, Page 8
Prev 1 2 3 4 5 ... 8 Next
ADVERTISEMENT