Form MS408 State Employees Leave Bank Request Form - Maryland

Notification Icon This version of the form is not currently in use and is provided for reference only. Download this version of Form MS408 for the current year.

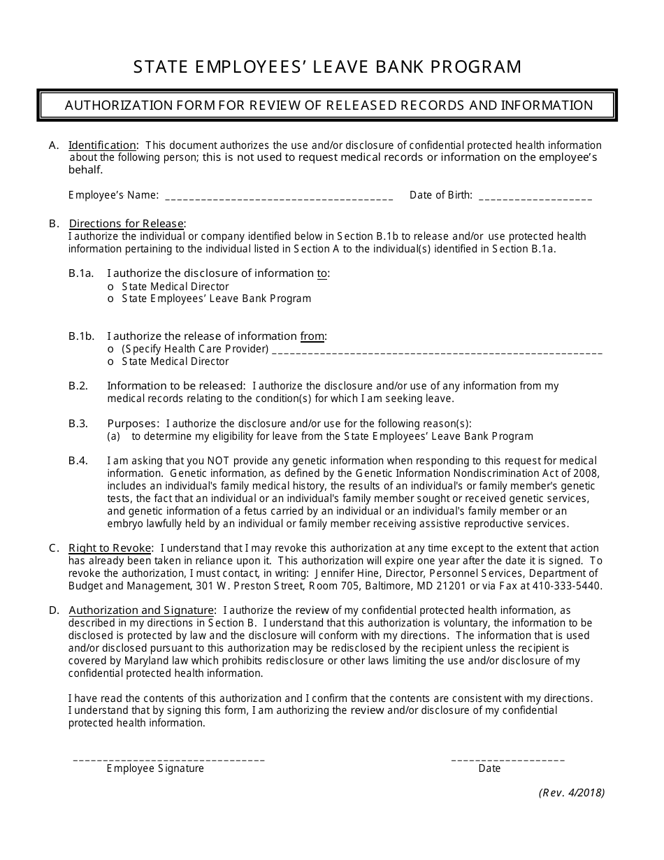
Form MS408 State Employees Leave Bank Request Form - Maryland

What Is Form MS408?

This is a legal form that was released by the Maryland Department of Budget and Management - a government authority operating within Maryland. As of today, no separate filing guidelines for the form are provided by the issuing department.

FAQ

Q: What is Form MS408?
A: Form MS408 is the State EmployeesLeave Bank Request Form in Maryland.

Q: What is the purpose of Form MS408?
A: The purpose of Form MS408 is to request leave from the State Employees Leave Bank in Maryland.

Q: How do I obtain Form MS408?
A: You can obtain Form MS408 from your employer or the human resources department in Maryland.

Q: How do I fill out Form MS408?
A: Follow the instructions provided on the form and fill out the required fields accurately and completely.

Q: Who can use Form MS408?
A: Form MS408 is designed for use by state employees in Maryland.

Q: Is Form MS408 mandatory?
A: The use of Form MS408 may be mandatory for certain state employees in Maryland, depending on their eligibility and leave policies.

Q: Can I request leave from the State Employees Leave Bank multiple times?
A: Yes, you can request leave from the State Employees Leave Bank multiple times if you meet the eligibility criteria and have sufficient leave balances.

Q: What should I do if I have questions about Form MS408?
A: If you have any questions or need assistance with Form MS408, you should contact your employer or the human resources department in Maryland.

ADVERTISEMENT

Form Details:

  • Released on April 1, 2018;
  • The latest edition provided by the Maryland Department of Budget and Management;
  • Easy to use and ready to print;
  • Quick to customize;
  • Compatible with most PDF-viewing applications;
  • Fill out the form in our online filing application.

Download a printable version of Form MS408 by clicking the link below or browse more documents and templates provided by the Maryland Department of Budget and Management.

Download Form MS408 State Employees Leave Bank Request Form - Maryland

4.8 of 5 (66 votes)
  • Form MS408 State Employees Leave Bank Request Form - Maryland

    1

  • Form MS408 State Employees Leave Bank Request Form - Maryland, Page 2

    2

  • Form MS408 State Employees Leave Bank Request Form - Maryland, Page 3

    3

  • Form MS408 State Employees Leave Bank Request Form - Maryland, Page 4

    4

  • Form MS408 State Employees Leave Bank Request Form - Maryland, Page 5

    5

  • Form MS408 State Employees Leave Bank Request Form - Maryland, Page 6

    6

  • Form MS408 State Employees Leave Bank Request Form - Maryland, Page 1
  • Form MS408 State Employees Leave Bank Request Form - Maryland, Page 2
  • Form MS408 State Employees Leave Bank Request Form - Maryland, Page 3
  • Form MS408 State Employees Leave Bank Request Form - Maryland, Page 4
  • Form MS408 State Employees Leave Bank Request Form - Maryland, Page 5
  • Form MS408 State Employees Leave Bank Request Form - Maryland, Page 6
Prev 1 2 3 4 5 6 Next
ADVERTISEMENT

Related Documents