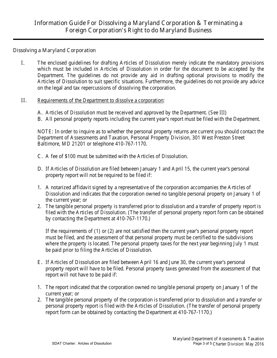
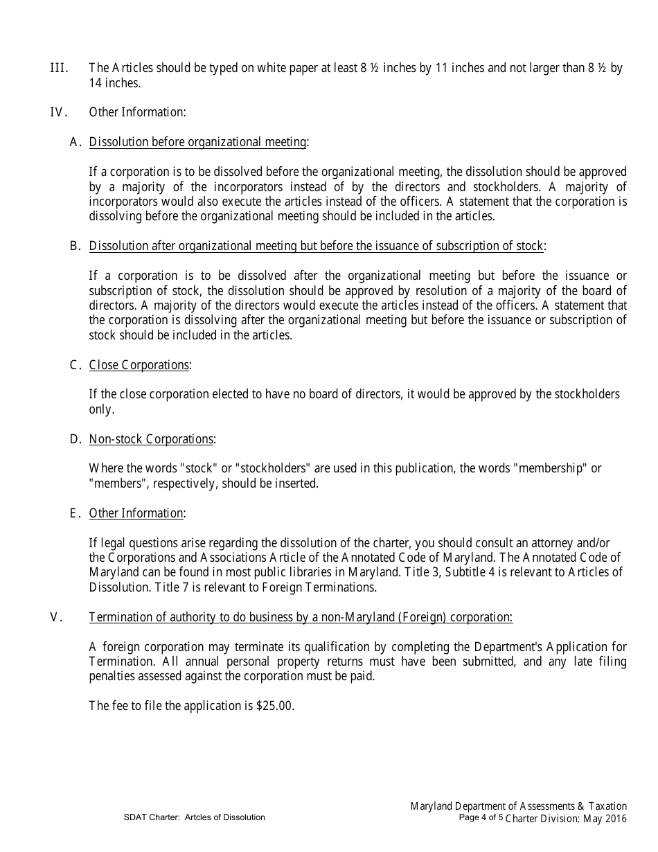
Articles of Dissolution - Maryland

Notification Icon This version of the form is not currently in use and is provided for reference only. Download this version of the document for the current year.

Articles of Dissolution - Maryland

Articles of Dissolution is a legal document that was released by the Maryland Department of Assessments and Taxation - a government authority operating within Maryland.

FAQ

Q: What are the Articles of Dissolution?
A: The Articles of Dissolution are legal documents that formally terminate a corporation in Maryland.

Q: When can I file the Articles of Dissolution?
A: You can file the Articles of Dissolution once the corporation has ceased all business activities and no longer has any assets or liabilities.

Q: What information is required in the Articles of Dissolution?
A: The Articles of Dissolution require the name and address of the corporation, the date of dissolution, and a statement confirming that the corporation has been properly dissolved.

Q: Is there a fee to file the Articles of Dissolution?
A: Yes, there is a filing fee to submit the Articles of Dissolution.

Q: Are there any additional requirements after filing the Articles of Dissolution?
A: Yes, you should also notify the Internal Revenue Service (IRS) and the Maryland Comptroller of the corporation's dissolution.

Q: Can I revive a dissolved corporation in Maryland?
A: Yes, it is possible to revive a dissolved corporation in Maryland by filing a Revival Application with the Maryland Department of Assessments and Taxation.

ADVERTISEMENT

Form Details:

  • Released on October 1, 2018;
  • The latest edition currently provided by the Maryland Department of Assessments and Taxation;
  • Ready to use and print;
  • Easy to customize;
  • Compatible with most PDF-viewing applications;
  • Fill out the form in our online filing application.

Download a fillable version of the form by clicking the link below or browse more documents and templates provided by the Maryland Department of Assessments and Taxation.

Download Articles of Dissolution - Maryland

4.3 of 5 (22 votes)
  • Articles of Dissolution - Maryland

    1

  • Articles of Dissolution - Maryland, Page 2

    2

  • Articles of Dissolution - Maryland, Page 3

    3

  • Articles of Dissolution - Maryland, Page 4

    4

  • Articles of Dissolution - Maryland, Page 5

    5

  • Articles of Dissolution - Maryland, Page 1
  • Articles of Dissolution - Maryland, Page 2
  • Articles of Dissolution - Maryland, Page 3
  • Articles of Dissolution - Maryland, Page 4
  • Articles of Dissolution - Maryland, Page 5
Prev 1 2 3 4 5 Next
ADVERTISEMENT