Form CSCL / CD-525 Certificate of Renewal of Corporate Existence for Use by Domestic Corporations - Michigan

Notification Icon This version of the form is not currently in use and is provided for reference only. Download this version of Form CSCL/CD-525 for the current year.

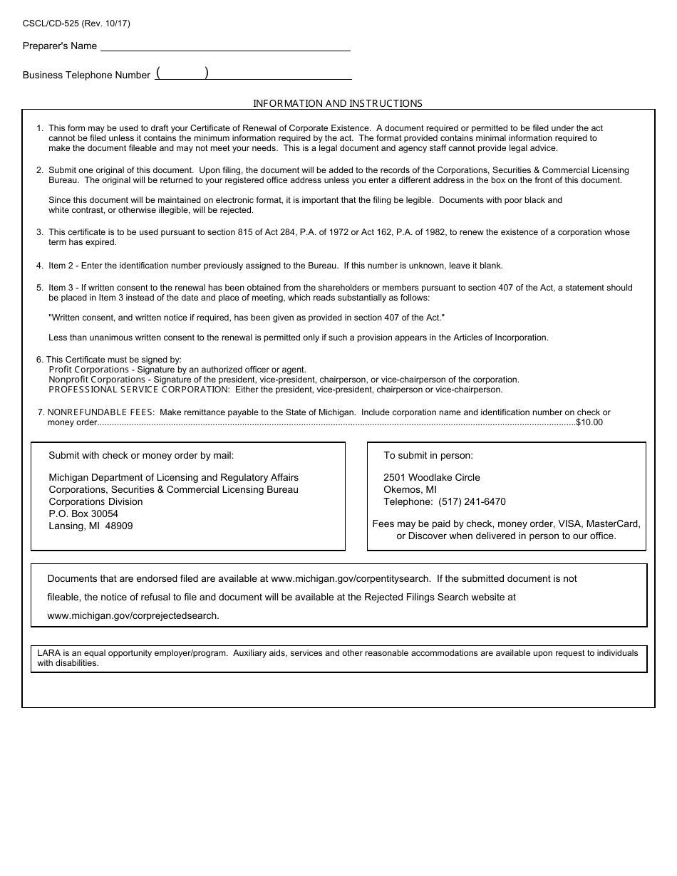
Form CSCL / CD-525 Certificate of Renewal of Corporate Existence for Use by Domestic Corporations - Michigan

What Is Form CSCL/CD-525?

This is a legal form that was released by the Michigan Department of Licensing and Regulatory Affairs - a government authority operating within Michigan. As of today, no separate filing guidelines for the form are provided by the issuing department.

FAQ

Q: What is Form CSCL/CD-525?
A: Form CSCL/CD-525 is the Certificate of Renewal of Corporate Existence for use by Domestic Corporations in Michigan.

Q: Who uses Form CSCL/CD-525?
A: Form CSCL/CD-525 is used by Domestic Corporations in Michigan.

Q: What is the purpose of Form CSCL/CD-525?
A: The purpose of Form CSCL/CD-525 is to renew the corporate existence of a Domestic Corporation in Michigan.

Q: How often do I need to file Form CSCL/CD-525?
A: Form CSCL/CD-525 needs to be filed every year to renew the corporate existence of a Domestic Corporation in Michigan.

Q: What information is required in Form CSCL/CD-525?
A: Form CSCL/CD-525 requires information such as the corporation's name, address, registered agent, and filing fee.

Q: Is there a fee for filing Form CSCL/CD-525?
A: Yes, there is a filing fee for Form CSCL/CD-525. The fee amount may vary.

Q: What is the deadline for filing Form CSCL/CD-525?
A: Form CSCL/CD-525 must be filed by the end of the corporation's anniversary month.

Q: What happens if I don't file Form CSCL/CD-525?
A: If you don't file Form CSCL/CD-525, your corporation's existence may be forfeited.

ADVERTISEMENT

Form Details:

  • Released on October 1, 2017;
  • The latest edition provided by the Michigan Department of Licensing and Regulatory Affairs;
  • Easy to use and ready to print;
  • Quick to customize;
  • Compatible with most PDF-viewing applications;
  • Fill out the form in our online filing application.

Download a fillable version of Form CSCL/CD-525 by clicking the link below or browse more documents and templates provided by the Michigan Department of Licensing and Regulatory Affairs.

Download Form CSCL / CD-525 Certificate of Renewal of Corporate Existence for Use by Domestic Corporations - Michigan

4.3 of 5 (82 votes)
  • Form CSCL/CD-525 Certificate of Renewal of Corporate Existence for Use by Domestic Corporations - Michigan

    1

  • Form CSCL/CD-525 Certificate of Renewal of Corporate Existence for Use by Domestic Corporations - Michigan, Page 2

    2

  • Form CSCL/CD-525 Certificate of Renewal of Corporate Existence for Use by Domestic Corporations - Michigan, Page 3

    3

  • Form CSCL / CD-525 Certificate of Renewal of Corporate Existence for Use by Domestic Corporations - Michigan, Page 1
  • Form CSCL / CD-525 Certificate of Renewal of Corporate Existence for Use by Domestic Corporations - Michigan, Page 2
  • Form CSCL / CD-525 Certificate of Renewal of Corporate Existence for Use by Domestic Corporations - Michigan, Page 3
Prev 1 2 3 Next
ADVERTISEMENT