Form JC66 Application to Set Aside Adjudication(S) - Michigan

Notification Icon This version of the form is not currently in use and is provided for reference only. Download this version of Form JC66 for the current year.

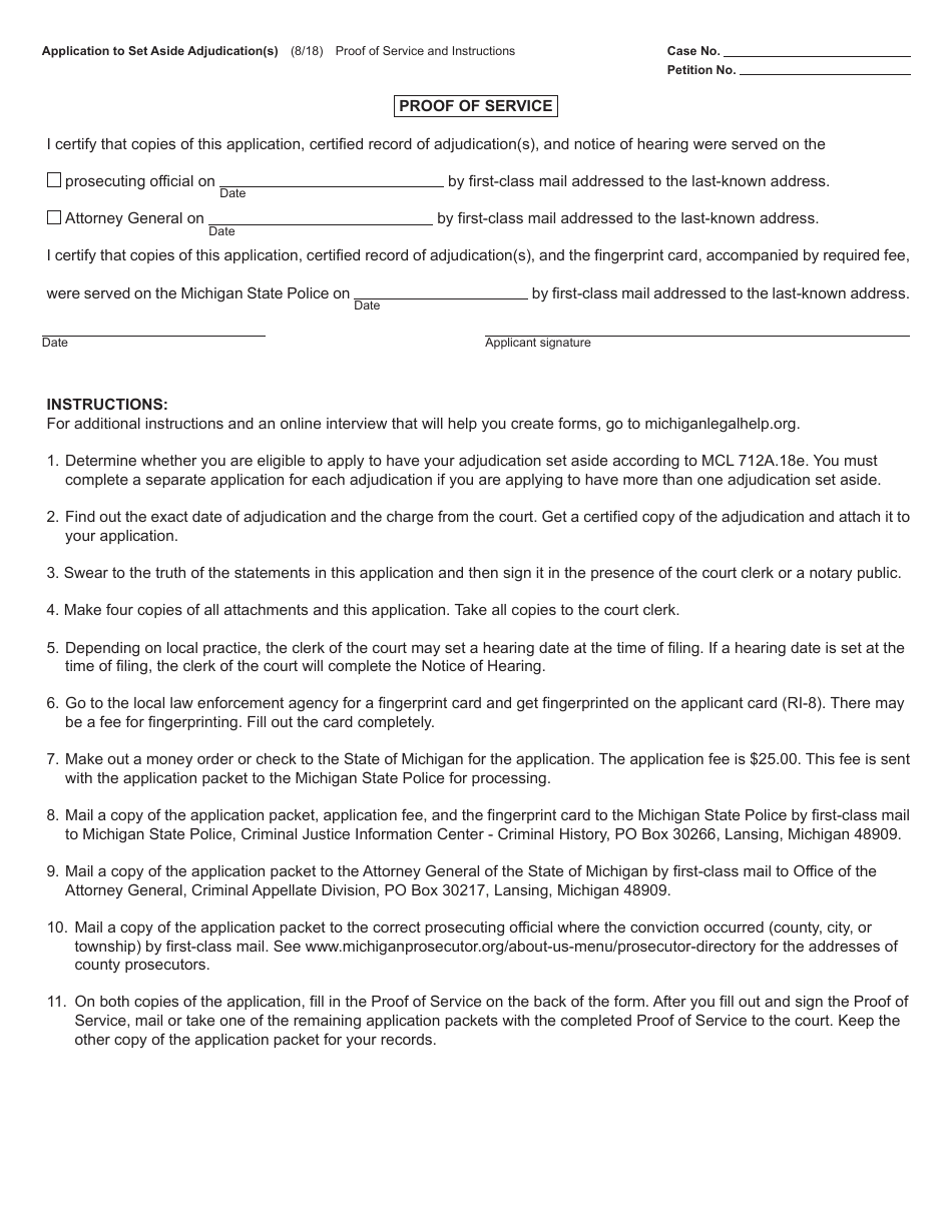
Form JC66 Application to Set Aside Adjudication(S) - Michigan

What Is Form JC66?

This is a legal form that was released by the Michigan Juvenile Court - a government authority operating within Michigan. As of today, no separate filing guidelines for the form are provided by the issuing department.

FAQ

Q: What is Form JC66?
A: Form JC66 is the Application to Set Aside Adjudication(s) in Michigan.

Q: What does Form JC66 do?
A: Form JC66 is used to request the court to set aside an adjudication in Michigan.

Q: What information is required in Form JC66?
A: Form JC66 requires information about the defendant, case details, reasons for requesting the set aside, and supporting evidence.

Q: Are there any fees associated with filing Form JC66?
A: There may be filing fees associated with filing Form JC66, which vary depending on the court. You can contact the court for more information.

ADVERTISEMENT

Form Details:

  • Released on August 1, 2018;
  • The latest edition provided by the Michigan Juvenile Court;
  • Easy to use and ready to print;
  • Quick to customize;
  • Compatible with most PDF-viewing applications;
  • Fill out the form in our online filing application.

Download a fillable version of Form JC66 by clicking the link below or browse more documents and templates provided by the Michigan Juvenile Court.

Download Form JC66 Application to Set Aside Adjudication(S) - Michigan

4.4 of 5 (30 votes)
  • Form JC66 Application to Set Aside Adjudication(S) - Michigan

    1

  • Form JC66 Application to Set Aside Adjudication(S) - Michigan, Page 2

    2

  • Form JC66 Application to Set Aside Adjudication(S) - Michigan, Page 1
  • Form JC66 Application to Set Aside Adjudication(S) - Michigan, Page 2
Prev 1 2 Next
ADVERTISEMENT