Form JC11A Order After Preliminary Hearing (Child Protective Proceedings) - Michigan

Form JC11A Order After Preliminary Hearing (Child Protective Proceedings) - Michigan

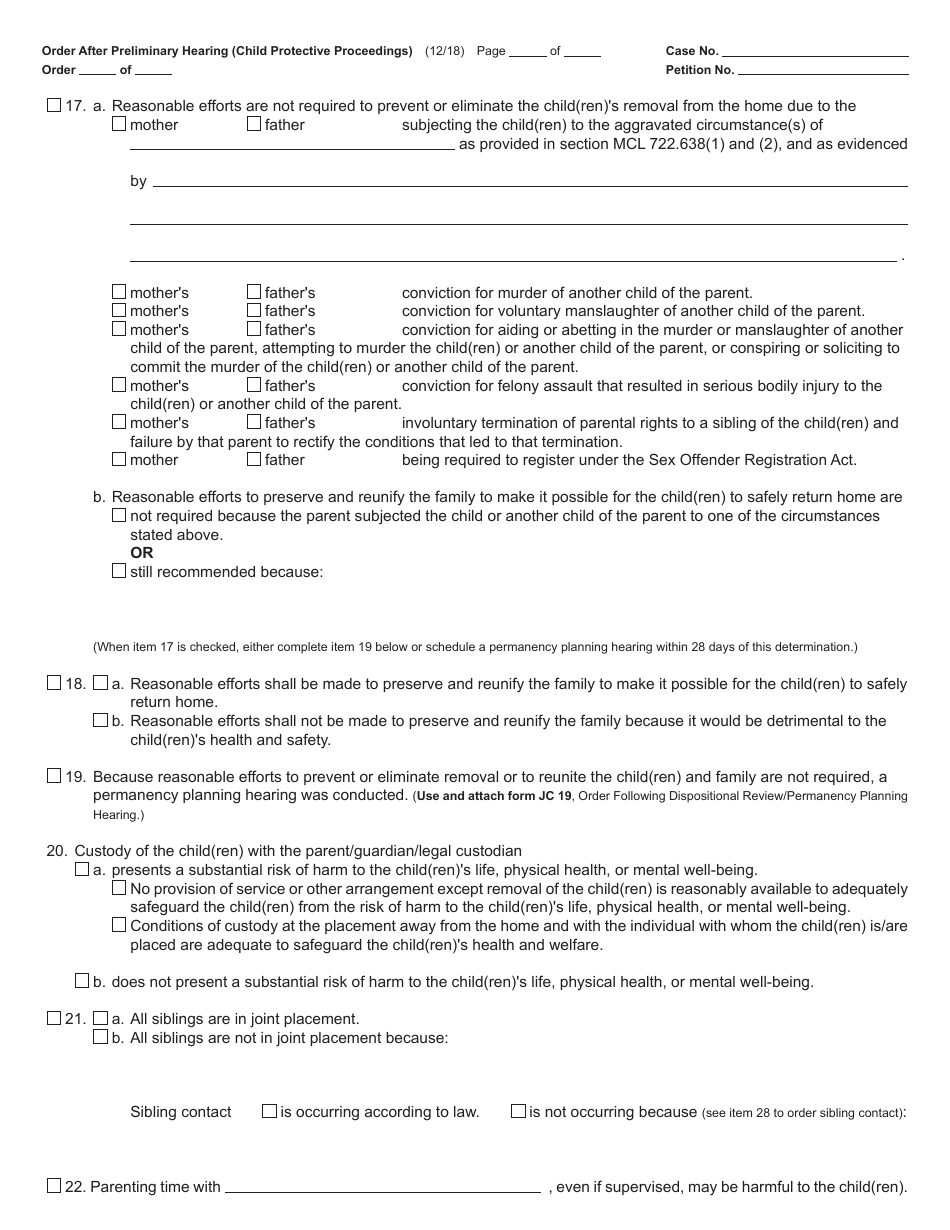
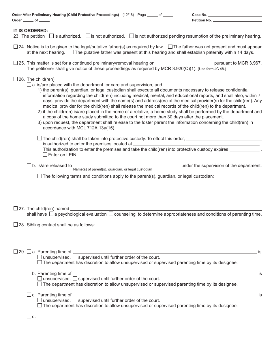
What Is Form JC11A?

This is a legal form that was released by the Michigan Courts - a government authority operating within Michigan. As of today, no separate filing guidelines for the form are provided by the issuing department.

FAQ

Q: What is a JC11A Order After Preliminary Hearing?
A: A JC11A Order After Preliminary Hearing is a court order issued in child protective proceedings in Michigan.

Q: What is the purpose of a JC11A Order After Preliminary Hearing?
A: The purpose of a JC11A Order After Preliminary Hearing is to address the temporary custody, placement, and services for a child involved in child protective proceedings.

Q: Who issues a JC11A Order After Preliminary Hearing?
A: A JC11A Order After Preliminary Hearing is issued by the judge presiding over the child protective proceedings.

Q: What does a JC11A Order After Preliminary Hearing address?
A: A JC11A Order After Preliminary Hearing addresses temporary custody, placement, services for the child, and any other necessary provisions to ensure the child's safety and well-being.

Q: How long is a JC11A Order After Preliminary Hearing in effect?
A: The length of time a JC11A Order After Preliminary Hearing is in effect depends on the specific circumstances of the case and is determined by the court.

Q: Can a JC11A Order After Preliminary Hearing be modified?
A: Yes, a JC11A Order After Preliminary Hearing can be modified if there is a change in circumstances or if it is in the best interest of the child.

Q: Who is affected by a JC11A Order After Preliminary Hearing?
A: A JC11A Order After Preliminary Hearing affects the child involved in the child protective proceedings, their parents or guardians, and any other individuals involved in the care and custody of the child.

Q: What should I do if I have questions about a JC11A Order After Preliminary Hearing?
A: If you have questions about a JC11A Order After Preliminary Hearing, it is recommended to consult with an attorney or seek legal advice from a professional familiar with child protective proceedings in Michigan.

ADVERTISEMENT

Form Details:

  • Released on December 1, 2018;
  • The latest edition provided by the Michigan Courts;
  • Easy to use and ready to print;
  • Quick to customize;
  • Compatible with most PDF-viewing applications;
  • Fill out the form in our online filing application.

Download a fillable version of Form JC11A by clicking the link below or browse more documents and templates provided by the Michigan Courts.

Download Form JC11A Order After Preliminary Hearing (Child Protective Proceedings) - Michigan

4.8 of 5 (63 votes)
  • Form JC11A Order After Preliminary Hearing (Child Protective Proceedings) - Michigan

    1

  • Form JC11A Order After Preliminary Hearing (Child Protective Proceedings) - Michigan, Page 2

    2

  • Form JC11A Order After Preliminary Hearing (Child Protective Proceedings) - Michigan, Page 3

    3

  • Form JC11A Order After Preliminary Hearing (Child Protective Proceedings) - Michigan, Page 4

    4

  • Form JC11A Order After Preliminary Hearing (Child Protective Proceedings) - Michigan, Page 5

    5

  • Form JC11A Order After Preliminary Hearing (Child Protective Proceedings) - Michigan, Page 1
  • Form JC11A Order After Preliminary Hearing (Child Protective Proceedings) - Michigan, Page 2
  • Form JC11A Order After Preliminary Hearing (Child Protective Proceedings) - Michigan, Page 3
  • Form JC11A Order After Preliminary Hearing (Child Protective Proceedings) - Michigan, Page 4
  • Form JC11A Order After Preliminary Hearing (Child Protective Proceedings) - Michigan, Page 5
Prev 1 2 3 4 5 Next
ADVERTISEMENT