Form JC11B Order After Pretrial Hearing (Child Protective Proceedings) - Michigan

Notification Icon This version of the form is not currently in use and is provided for reference only. Download this version of Form JC11B for the current year.

Form JC11B Order After Pretrial Hearing (Child Protective Proceedings) - Michigan

What Is Form JC11B?

This is a legal form that was released by the Michigan Juvenile Court - a government authority operating within Michigan. As of today, no separate filing guidelines for the form are provided by the issuing department.

FAQ

Q: What is a JC11B Order?
A: A JC11B Order is a court order issued after a pretrial hearing in child protective proceedings in Michigan.

Q: What does the JC11B Order do?
A: The JC11B Order sets out the next steps and actions to be taken in the child protective proceedings.

Q: Who is involved in the JC11B Order?
A: The JC11B Order involves the court, the parties to the case, and other relevant individuals such as caseworkers or attorneys.

Q: What happens at a pretrial hearing?
A: At a pretrial hearing, the court reviews the progress of the case and assesses issues like evidence, witnesses, and potential agreements.

Q: How is a JC11B Order different from other court orders?
A: A JC11B Order is specific to child protective proceedings and addresses issues related to the well-being and safety of the child.

Q: What should I do if I receive a JC11B Order?
A: If you receive a JC11B Order, it is important to carefully read and understand its contents, and follow any instructions or requirements outlined in the order.

Q: Can I appeal a JC11B Order?
A: Yes, you can typically appeal a JC11B Order if you disagree with the decision made by the court. You should consult with an attorney to understand the process and requirements for appealing.

Q: What if I have questions or need clarification about a JC11B Order?
A: If you have questions or need clarification about a JC11B Order, it is recommended to seek legal advice from an attorney familiar with child protective proceedings in Michigan.

ADVERTISEMENT

Form Details:

  • Released on December 1, 2018;
  • The latest edition provided by the Michigan Juvenile Court;
  • Easy to use and ready to print;
  • Quick to customize;
  • Compatible with most PDF-viewing applications;
  • Fill out the form in our online filing application.

Download a fillable version of Form JC11B by clicking the link below or browse more documents and templates provided by the Michigan Juvenile Court.

Download Form JC11B Order After Pretrial Hearing (Child Protective Proceedings) - Michigan

4.3 of 5 (70 votes)
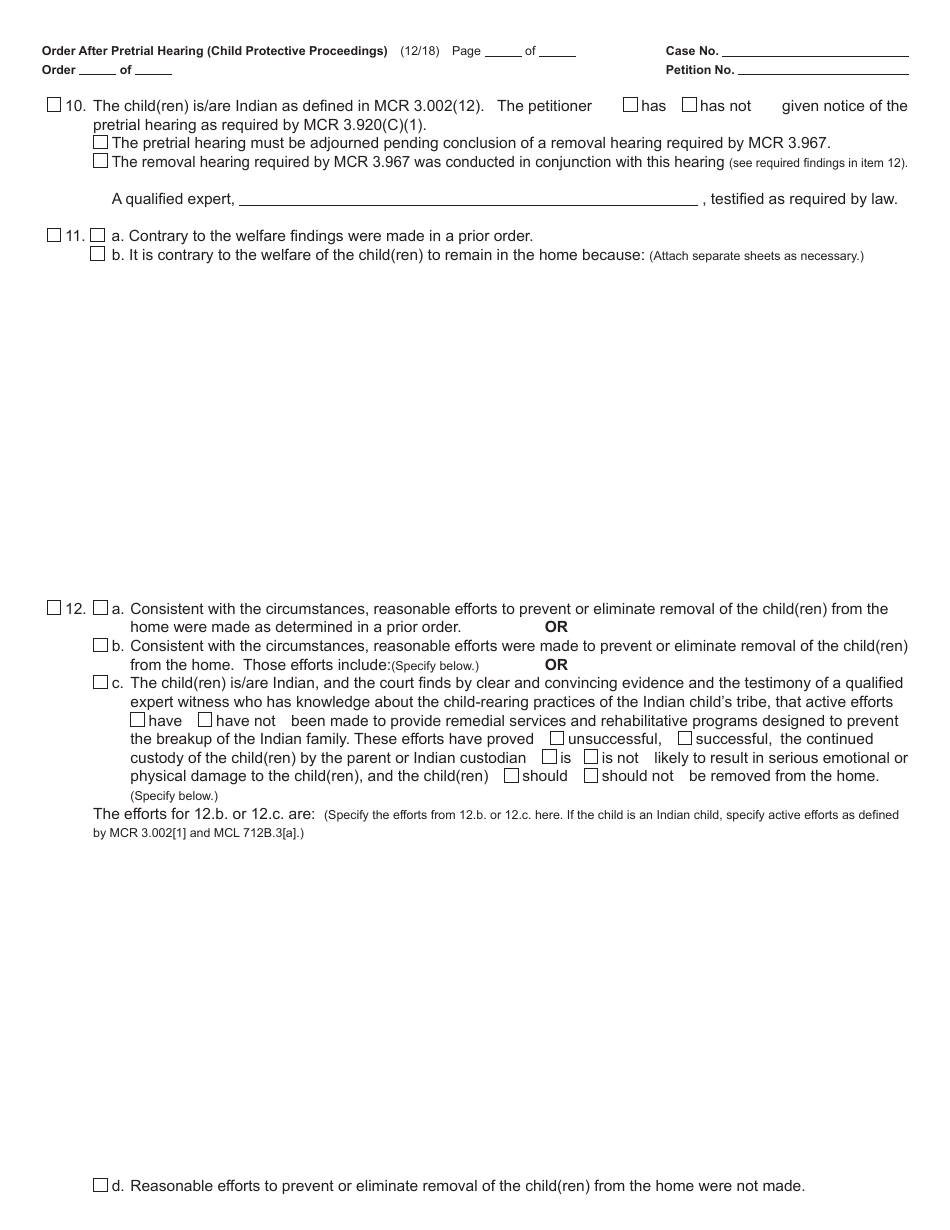
  • Form JC11B Order After Pretrial Hearing (Child Protective Proceedings) - Michigan

    1

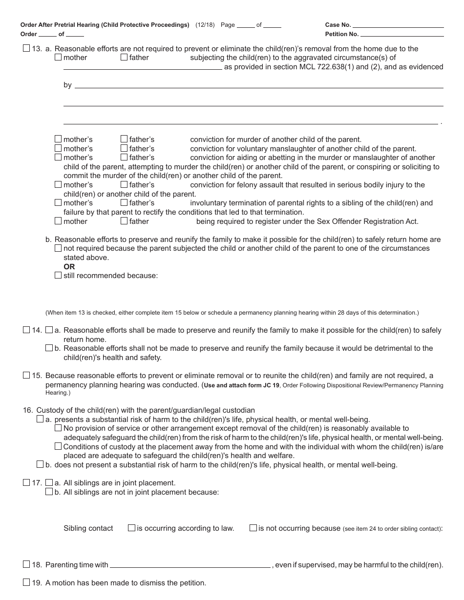
  • Form JC11B Order After Pretrial Hearing (Child Protective Proceedings) - Michigan, Page 2

    2

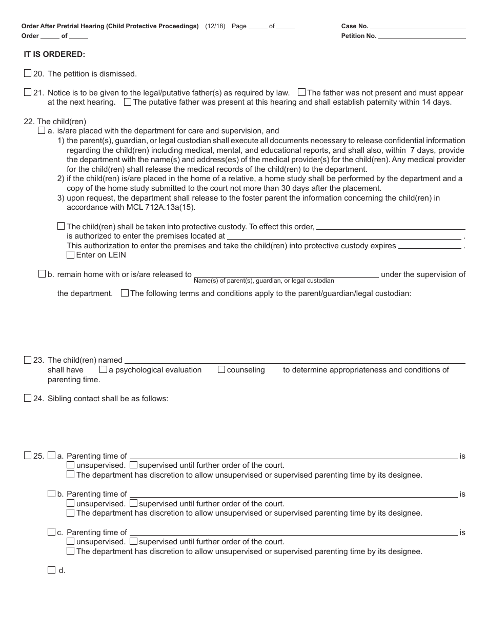
  • Form JC11B Order After Pretrial Hearing (Child Protective Proceedings) - Michigan, Page 3

    3

  • Form JC11B Order After Pretrial Hearing (Child Protective Proceedings) - Michigan, Page 4

    4

  • Form JC11B Order After Pretrial Hearing (Child Protective Proceedings) - Michigan, Page 5

    5

  • Form JC11B Order After Pretrial Hearing (Child Protective Proceedings) - Michigan, Page 1
  • Form JC11B Order After Pretrial Hearing (Child Protective Proceedings) - Michigan, Page 2
  • Form JC11B Order After Pretrial Hearing (Child Protective Proceedings) - Michigan, Page 3
  • Form JC11B Order After Pretrial Hearing (Child Protective Proceedings) - Michigan, Page 4
  • Form JC11B Order After Pretrial Hearing (Child Protective Proceedings) - Michigan, Page 5
Prev 1 2 3 4 5 Next
ADVERTISEMENT

Related Documents