Form JC49 Order of Adjudication (Child Protective Proceedings) - Michigan

Notification Icon This version of the form is not currently in use and is provided for reference only. Download this version of Form JC49 for the current year.

Form JC49 Order of Adjudication (Child Protective Proceedings) - Michigan

What Is Form JC49?

This is a legal form that was released by the Michigan Juvenile Court - a government authority operating within Michigan. As of today, no separate filing guidelines for the form are provided by the issuing department.

FAQ

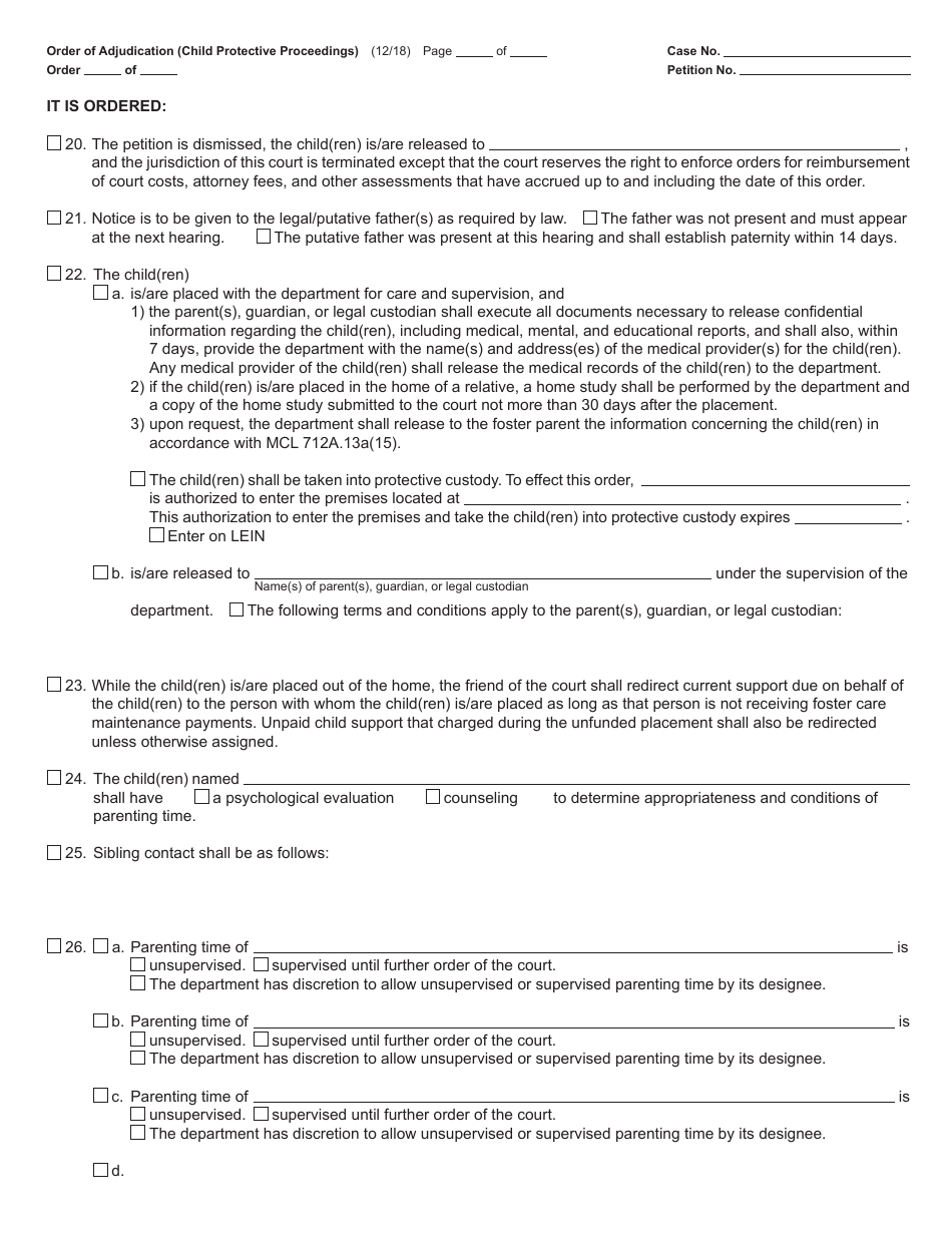
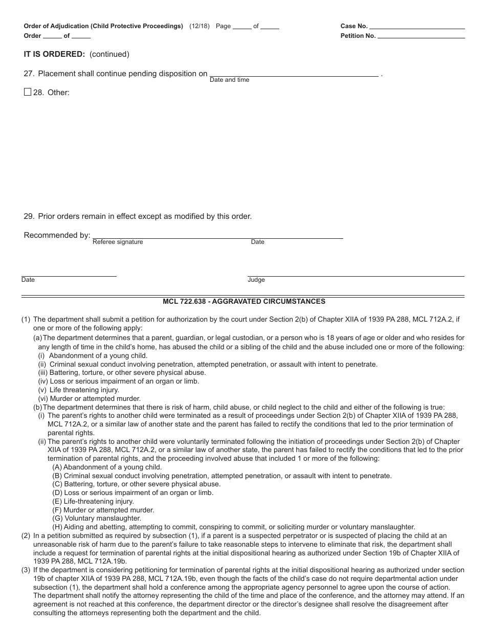
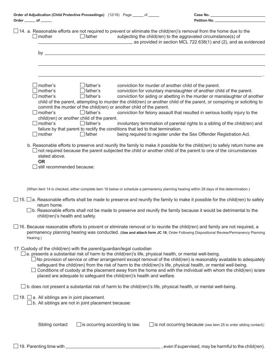
Q: What is a JC49 Order of Adjudication?
A: A JC49 Order of Adjudication is a legal order issued in Michigan in child protective proceedings.

Q: What does the JC49 Order of Adjudication determine?
A: The JC49 Order of Adjudication determines if the child is in need of protection or care.

Q: Who can issue a JC49 Order of Adjudication?
A: A judge can issue a JC49 Order of Adjudication in Michigan.

Q: What happens after a JC49 Order of Adjudication is issued?
A: After a JC49 Order of Adjudication is issued, a dispositional hearing is scheduled to determine the proper placement and services for the child.

Q: Can a JC49 Order of Adjudication be appealed?
A: Yes, a JC49 Order of Adjudication can be appealed by filing a petition with the appropriate court.

ADVERTISEMENT

Form Details:

  • Released on December 1, 2018;
  • The latest edition provided by the Michigan Juvenile Court;
  • Easy to use and ready to print;
  • Quick to customize;
  • Compatible with most PDF-viewing applications;
  • Fill out the form in our online filing application.

Download a fillable version of Form JC49 by clicking the link below or browse more documents and templates provided by the Michigan Juvenile Court.

Download Form JC49 Order of Adjudication (Child Protective Proceedings) - Michigan

4.7 of 5 (37 votes)
  • Form JC49 Order of Adjudication (Child Protective Proceedings) - Michigan

    1

  • Form JC49 Order of Adjudication (Child Protective Proceedings) - Michigan, Page 2

    2

  • Form JC49 Order of Adjudication (Child Protective Proceedings) - Michigan, Page 3

    3

  • Form JC49 Order of Adjudication (Child Protective Proceedings) - Michigan, Page 4

    4

  • Form JC49 Order of Adjudication (Child Protective Proceedings) - Michigan, Page 5

    5

  • Form JC49 Order of Adjudication (Child Protective Proceedings) - Michigan, Page 1
  • Form JC49 Order of Adjudication (Child Protective Proceedings) - Michigan, Page 2
  • Form JC49 Order of Adjudication (Child Protective Proceedings) - Michigan, Page 3
  • Form JC49 Order of Adjudication (Child Protective Proceedings) - Michigan, Page 4
  • Form JC49 Order of Adjudication (Child Protective Proceedings) - Michigan, Page 5
Prev 1 2 3 4 5 Next
ADVERTISEMENT