Publication Permission Form - Mississippi

Publication Permission Form - Mississippi

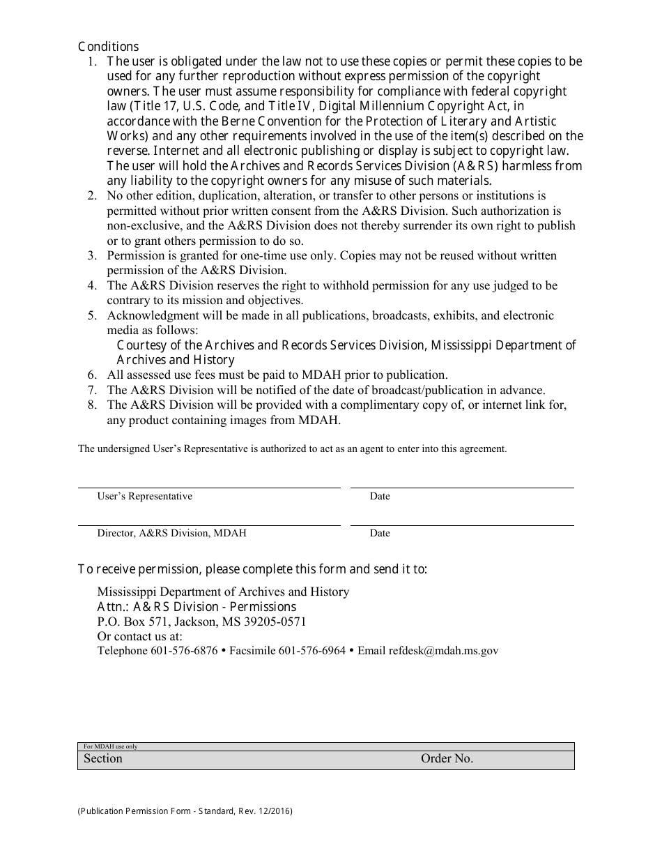
Publication Permission Form is a legal document that was released by the Mississippi Department of Archives and History - a government authority operating within Mississippi.

FAQ

Q: What is a Publication Permission Form?
A: A Publication Permission Form is a document that grants authorization to publish someone's work or image.

Q: Why do I need a Publication Permission Form?
A: You need a Publication Permission Form to legally publish someone's work or image without facing copyright or privacy issues.

Q: Who should sign a Publication Permission Form?
A: The person whose work or image will be published, or their legal guardian if they are a minor, should sign a Publication Permission Form.

Q: What information should be included in a Publication Permission Form?
A: A Publication Permission Form should include the name of the person granting permission, a description of the work or image being published, and the date of publication.

Q: Is a Publication Permission Form legally binding?
A: Yes, a properly executed Publication Permission Form is legally binding and can be used as evidence of authorization to publish.

Q: Can a Publication Permission Form be revoked?
A: In some cases, a Publication Permission Form can be revoked if both parties agree to the revocation. However, it is best to consult a lawyer to understand the legal implications.

Q: Does a Publication Permission Form expire?
A: There is no specific expiration date for a Publication Permission Form. However, it is advisable to include a duration of permission or an event upon which the permission will expire.

Q: Can a Publication Permission Form be used for commercial purposes?
A: Yes, a Publication Permission Form can grant permission for both non-commercial and commercial purposes, depending on the terms agreed upon by both parties.

Q: What happens if I publish without a Publication Permission Form?
A: Publishing without a Publication Permission Form can leave you vulnerable to copyright infringement or privacy lawsuits. It is important to obtain proper authorization before publishing.

ADVERTISEMENT

Form Details:

  • Released on December 1, 2016;
  • The latest edition currently provided by the Mississippi Department of Archives and History;
  • Ready to use and print;
  • Easy to customize;
  • Compatible with most PDF-viewing applications;
  • Fill out the form in our online filing application.

Download a fillable version of the form by clicking the link below or browse more documents and templates provided by the Mississippi Department of Archives and History.

Download Publication Permission Form - Mississippi

4.5 of 5 (27 votes)
  • Publication Permission Form - Mississippi

    1

  • Publication Permission Form - Mississippi, Page 2

    2

  • Publication Permission Form - Mississippi, Page 1
  • Publication Permission Form - Mississippi, Page 2
Prev 1 2 Next
ADVERTISEMENT

Related Documents