Certification of Health Care Provider - Family and Medical Leave Act of 1993 - Mississippi

Certification of Health Care Provider - Family and Medical Leave Act of 1993 - Mississippi

Certification of Health Care Provider - Family and Medical Leave Act of 1993 is a legal document that was released by the Mississippi Department of Education - a government authority operating within Mississippi.

FAQ

Q: What is the Certification of Health Care Provider?
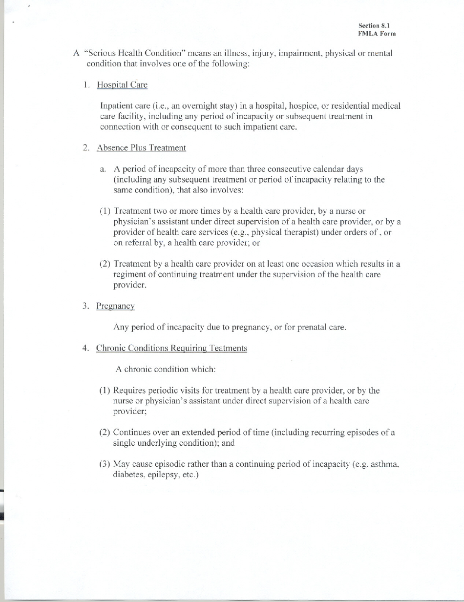
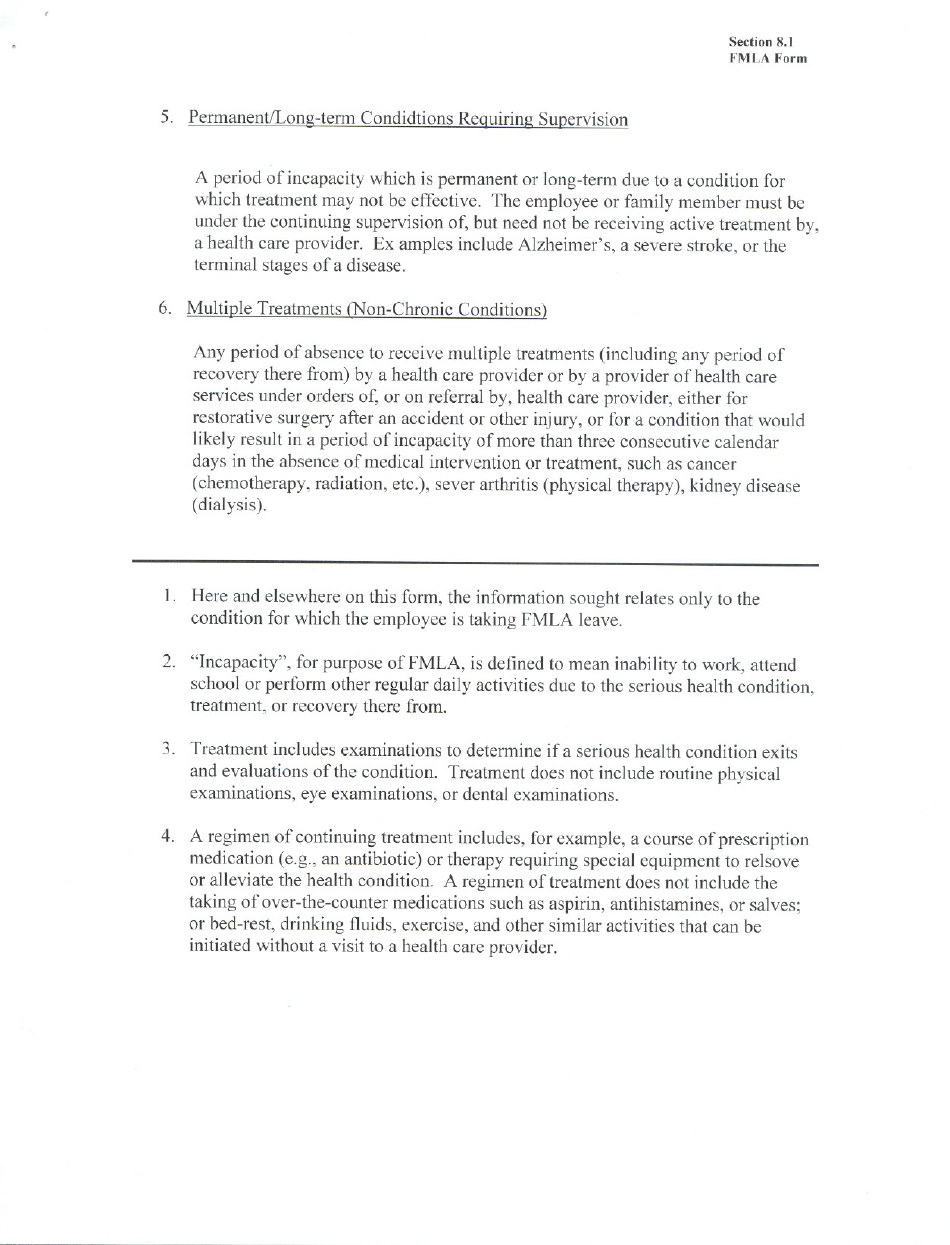
A: The Certification of Health Care Provider is a form used to obtain medical documentation for the Family and Medical Leave Act.

Q: What is the Family and Medical Leave Act of 1993?
A: The Family and Medical Leave Act of 1993 (FMLA) is a federal law that allows eligible employees to take unpaid leave for certain family or medical reasons.

Q: Who is eligible for FMLA leave?
A: Eligible employees who work for covered employers and meet certain criteria, such as having worked for the employer for a certain period of time.

Q: What is the purpose of the Certification of Health Care Provider?
A: The purpose of the Certification of Health Care Provider is to validate the need for FMLA leave by providing medical documentation.

Q: Who can complete the Certification of Health Care Provider?
A: The Certification of Health Care Provider can be completed by a health care provider, such as a doctor or nurse practitioner.

Q: What information is required on the Certification of Health Care Provider?
A: The Certification of Health Care Provider requires information about the employee's medical condition and the need for FMLA leave.

Q: Is the Certification of Health Care Provider confidential?
A: Yes, the information provided on the Certification of Health Care Provider is confidential and should be kept separate from the employee's personnel file.

Q: What happens if the Certification of Health Care Provider is incomplete or insufficient?
A: If the Certification of Health Care Provider is incomplete or insufficient, the employer may request additional information or clarification.

Q: Can my employer contact my health care provider for more information?
A: Yes, with your permission, your employer may contact your health care provider for clarification or to request additional information.

ADVERTISEMENT

Form Details:

  • The latest edition currently provided by the Mississippi Department of Education;
  • Ready to use and print;
  • Easy to customize;
  • Compatible with most PDF-viewing applications;
  • Fill out the form in our online filing application.

Download a printable version of the form by clicking the link below or browse more documents and templates provided by the Mississippi Department of Education.

Download Certification of Health Care Provider - Family and Medical Leave Act of 1993 - Mississippi

4.6 of 5 (24 votes)
  • Certification of Health Care Provider - Family and Medical Leave Act of 1993 - Mississippi

    1

  • Certification of Health Care Provider - Family and Medical Leave Act of 1993 - Mississippi, Page 2

    2

  • Certification of Health Care Provider - Family and Medical Leave Act of 1993 - Mississippi, Page 3

    3

  • Certification of Health Care Provider - Family and Medical Leave Act of 1993 - Mississippi, Page 4

    4

  • Certification of Health Care Provider - Family and Medical Leave Act of 1993 - Mississippi, Page 1
  • Certification of Health Care Provider - Family and Medical Leave Act of 1993 - Mississippi, Page 2
  • Certification of Health Care Provider - Family and Medical Leave Act of 1993 - Mississippi, Page 3
  • Certification of Health Care Provider - Family and Medical Leave Act of 1993 - Mississippi, Page 4
Prev 1 2 3 4 Next
ADVERTISEMENT

Related Documents