Form 6115-AT Employee / Contractor Safeguarding Federal Tax Information Training Certification - Nevada

Form 6115-AT Employee / Contractor Safeguarding Federal Tax Information Training Certification - Nevada

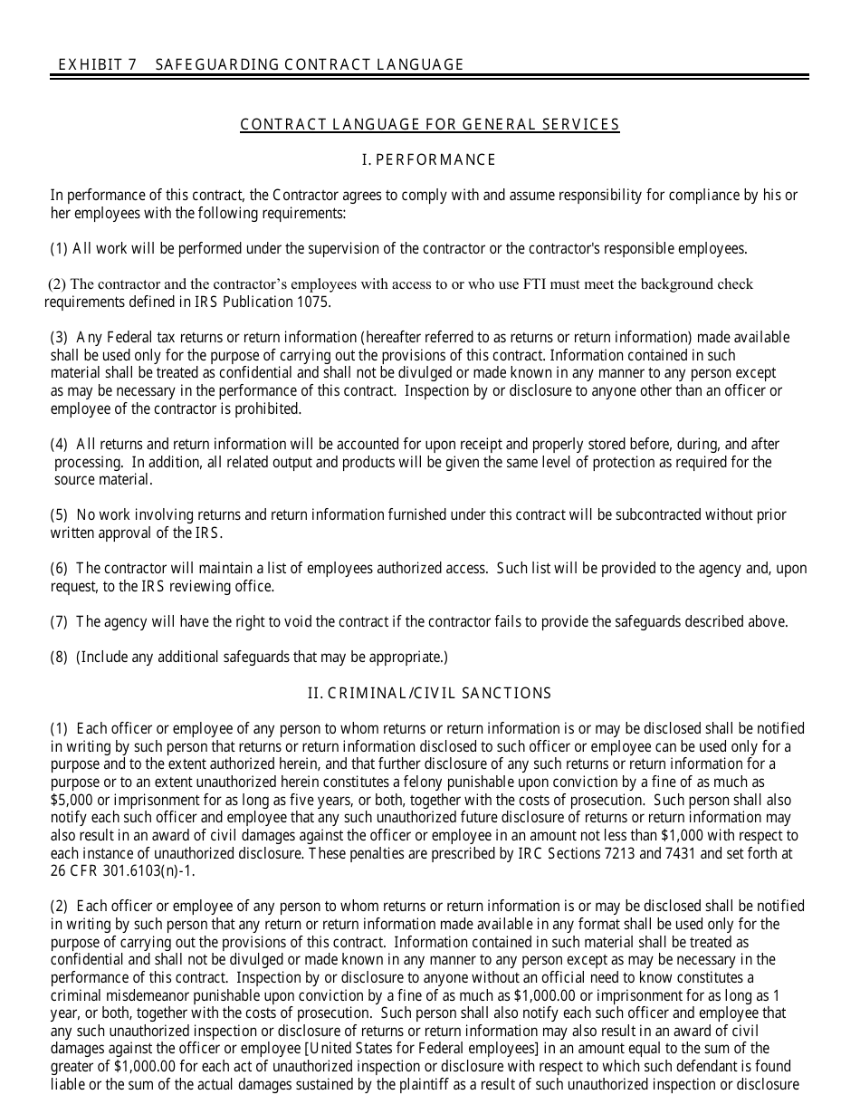
What Is Form 6115-AT?

This is a legal form that was released by the Nevada Department of Health and Human Services - a government authority operating within Nevada. As of today, no separate filing guidelines for the form are provided by the issuing department.

FAQ

Q: What is Form 6115-AT?
A: Form 6115-AT is a certification form for employee/contractor safeguarding of Federal Tax Information.

Q: What is Employee/Contractor Safeguarding Federal Tax Information Training Certification?
A: Employee/Contractor Safeguarding Federal Tax Information Training Certification is a training program that ensures employees and contractors understand how to safeguard Federal Tax Information.

Q: Who needs to complete Form 6115-AT?
A: Employees and contractors who have access to Federal Tax Information need to complete Form 6115-AT.

Q: What does the form certify?
A: The form certifies that the employee/contractor has completed the required training on safeguarding Federal Tax Information.

Q: Are there any penalties for not completing Form 6115-AT?
A: Failure to comply with the requirements may result in penalties imposed by the tax authorities.

Q: How often do employees/contractors need to complete the training?
A: The frequency of the training may depend on the specific requirements of the tax authorities.

ADVERTISEMENT

Form Details:

  • Released on December 1, 2016;
  • The latest edition provided by the Nevada Department of Health and Human Services;
  • Easy to use and ready to print;
  • Quick to customize;
  • Compatible with most PDF-viewing applications;
  • Fill out the form in our online filing application.

Download a printable version of Form 6115-AT by clicking the link below or browse more documents and templates provided by the Nevada Department of Health and Human Services.

Download Form 6115-AT Employee / Contractor Safeguarding Federal Tax Information Training Certification - Nevada

4.8 of 5 (103 votes)
  • Form 6115-AT Employee/Contractor Safeguarding Federal Tax Information Training Certification - Nevada

    1

  • Form 6115-AT Employee/Contractor Safeguarding Federal Tax Information Training Certification - Nevada, Page 2

    2

  • Form 6115-AT Employee/Contractor Safeguarding Federal Tax Information Training Certification - Nevada, Page 3

    3

  • Form 6115-AT Employee/Contractor Safeguarding Federal Tax Information Training Certification - Nevada, Page 4

    4

  • Form 6115-AT Employee/Contractor Safeguarding Federal Tax Information Training Certification - Nevada, Page 5

    5

  • Form 6115-AT Employee/Contractor Safeguarding Federal Tax Information Training Certification - Nevada, Page 6

    6

  • Form 6115-AT Employee/Contractor Safeguarding Federal Tax Information Training Certification - Nevada, Page 7

    7

  • Form 6115-AT Employee/Contractor Safeguarding Federal Tax Information Training Certification - Nevada, Page 8

    8

  • Form 6115-AT Employee/Contractor Safeguarding Federal Tax Information Training Certification - Nevada, Page 9

    9

  • Form 6115-AT Employee/Contractor Safeguarding Federal Tax Information Training Certification - Nevada, Page 10

    10

  • Form 6115-AT Employee/Contractor Safeguarding Federal Tax Information Training Certification - Nevada, Page 11

    11

  • Form 6115-AT Employee/Contractor Safeguarding Federal Tax Information Training Certification - Nevada, Page 12

    12

  • Form 6115-AT Employee/Contractor Safeguarding Federal Tax Information Training Certification - Nevada, Page 13

    13

  • Form 6115-AT Employee/Contractor Safeguarding Federal Tax Information Training Certification - Nevada, Page 14

    14

  • Form 6115-AT Employee/Contractor Safeguarding Federal Tax Information Training Certification - Nevada, Page 15

    15

  • Form 6115-AT Employee/Contractor Safeguarding Federal Tax Information Training Certification - Nevada, Page 16

    16

  • Form 6115-AT Employee / Contractor Safeguarding Federal Tax Information Training Certification - Nevada, Page 1
  • Form 6115-AT Employee / Contractor Safeguarding Federal Tax Information Training Certification - Nevada, Page 2
  • Form 6115-AT Employee / Contractor Safeguarding Federal Tax Information Training Certification - Nevada, Page 3
  • Form 6115-AT Employee / Contractor Safeguarding Federal Tax Information Training Certification - Nevada, Page 4
  • Form 6115-AT Employee / Contractor Safeguarding Federal Tax Information Training Certification - Nevada, Page 5
  • Form 6115-AT Employee / Contractor Safeguarding Federal Tax Information Training Certification - Nevada, Page 6
  • Form 6115-AT Employee / Contractor Safeguarding Federal Tax Information Training Certification - Nevada, Page 7
  • Form 6115-AT Employee / Contractor Safeguarding Federal Tax Information Training Certification - Nevada, Page 8
  • Form 6115-AT Employee / Contractor Safeguarding Federal Tax Information Training Certification - Nevada, Page 9
  • Form 6115-AT Employee / Contractor Safeguarding Federal Tax Information Training Certification - Nevada, Page 10
  • Form 6115-AT Employee / Contractor Safeguarding Federal Tax Information Training Certification - Nevada, Page 11
  • Form 6115-AT Employee / Contractor Safeguarding Federal Tax Information Training Certification - Nevada, Page 12
  • Form 6115-AT Employee / Contractor Safeguarding Federal Tax Information Training Certification - Nevada, Page 13
  • Form 6115-AT Employee / Contractor Safeguarding Federal Tax Information Training Certification - Nevada, Page 14
  • Form 6115-AT Employee / Contractor Safeguarding Federal Tax Information Training Certification - Nevada, Page 15
  • Form 6115-AT Employee / Contractor Safeguarding Federal Tax Information Training Certification - Nevada, Page 16
Prev 1 2 3 4 5 ... 16 Next
ADVERTISEMENT

Related Documents