Instructions for Form DHAS-8 Application for Eligibility for the HIV Home Care Program - New Jersey

Instructions for Form DHAS-8 Application for Eligibility for the HIV Home Care Program - New Jersey

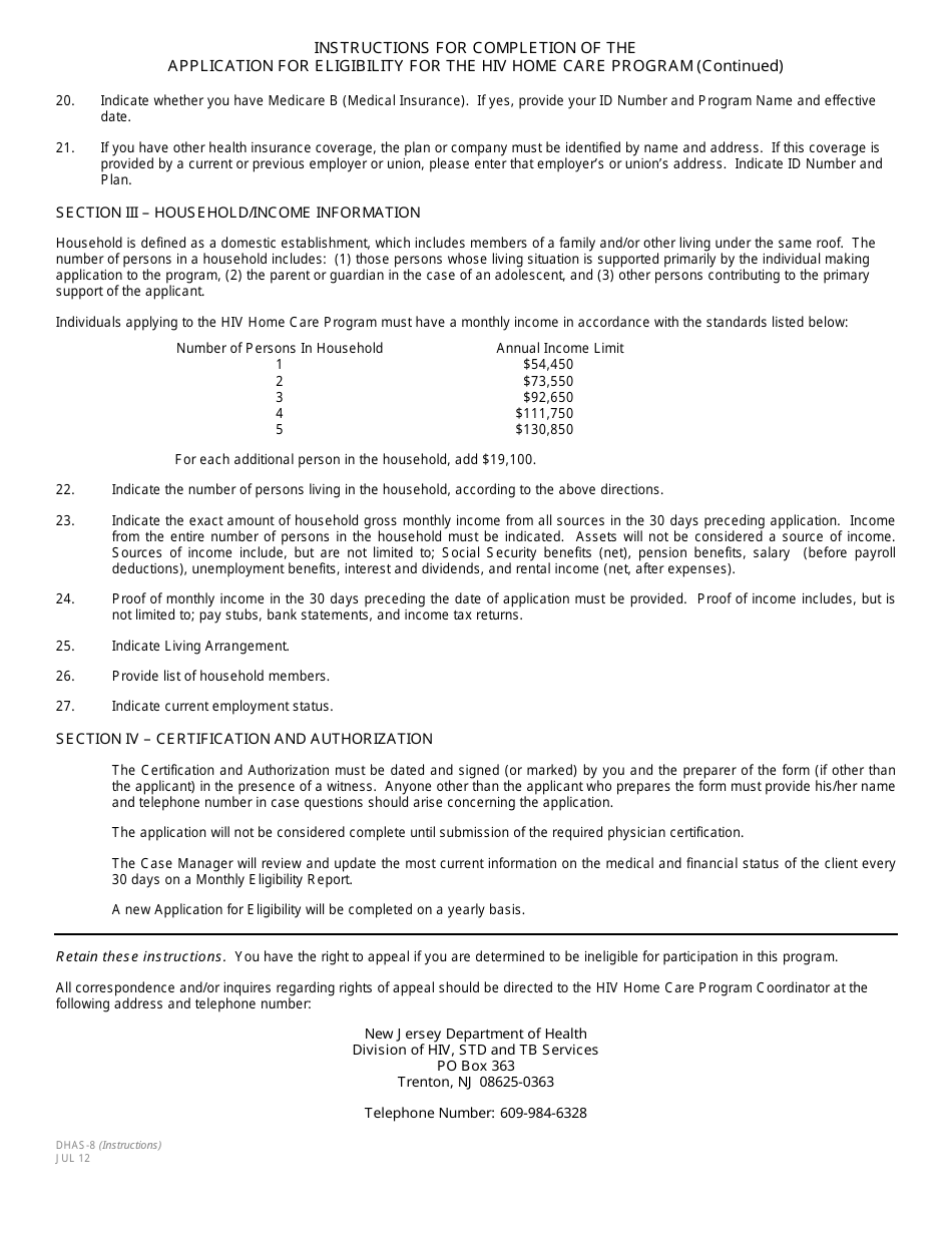
This document contains official instructions for Form DHAS-8 , Application for Eligibility for the HIV Home Care Program - a form released and collected by the New Jersey Department of Health. An up-to-date fillable Form DHAS-8 is available for download through this link.

FAQ

Q: What is Form DHAS-8?
A: Form DHAS-8 is an application for eligibility for the HIV Home Care Program in New Jersey.

Q: Who can use Form DHAS-8?
A: Individuals who are seeking eligibility for the HIV Home Care Program in New Jersey can use Form DHAS-8.

Q: How do I fill out Form DHAS-8?
A: You need to provide personal information and answer questions about your medical condition and need for home care services.

Q: What documents do I need to submit with Form DHAS-8?
A: You may need to submit documents such as proof of residency, proof of HIV diagnosis, and medical records.

Q: What is the purpose of the HIV Home Care Program in New Jersey?
A: The program provides home care services for individuals diagnosed with HIV in New Jersey.

Q: Who is eligible for the HIV Home Care Program in New Jersey?
A: Individuals diagnosed with HIV who meet certain criteria, such as income and residency requirements, may be eligible for the program.

Q: What services are covered under the HIV Home Care Program?
A: The program covers services such as nursing care, personal care assistance, and medical case management.

Q: Is there a cost for the HIV Home Care Program?
A: The program may have a cost based on a sliding fee scale, depending on the individual's income and assets.

ADVERTISEMENT

Instruction Details:

  • This 2-page document is available for download in PDF;
  • Actual and applicable for the current year;
  • Complete, printable, and free.

Download your copy of the instructions by clicking the link below or browse hundreds of other forms in our library of forms released by the New Jersey Department of Health.

Download Instructions for Form DHAS-8 Application for Eligibility for the HIV Home Care Program - New Jersey

4.8 of 5 (14 votes)
  • Instructions for Form DHAS-8 Application for Eligibility for the HIV Home Care Program - New Jersey

    1

  • Instructions for Form DHAS-8 Application for Eligibility for the HIV Home Care Program - New Jersey, Page 2

    2

  • Instructions for Form DHAS-8 Application for Eligibility for the HIV Home Care Program - New Jersey, Page 1
  • Instructions for Form DHAS-8 Application for Eligibility for the HIV Home Care Program - New Jersey, Page 2
Prev 1 2 Next
ADVERTISEMENT

Related Documents