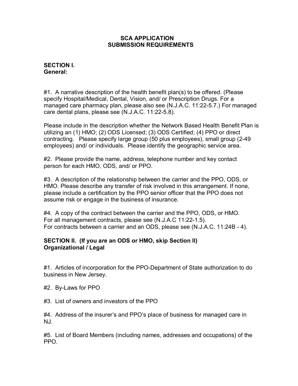
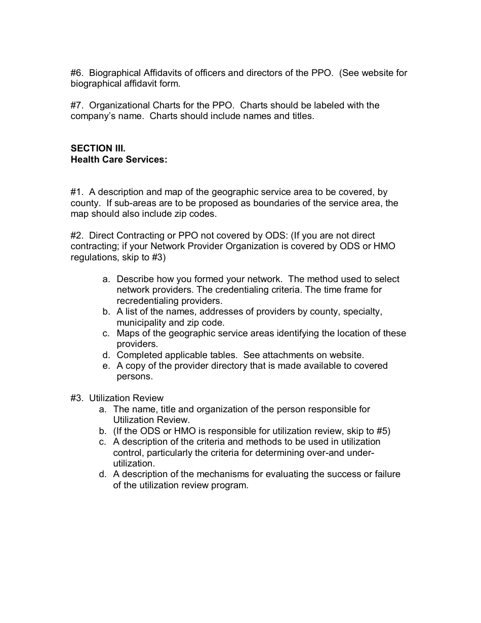
Selective Contracting Arrangement Application - New Jersey

Selective Contracting Arrangement Application - New Jersey

Selective Contracting Arrangement Application is a legal document that was released by the New Jersey Department of Banking and Insurance - a government authority operating within New Jersey.

FAQ

Q: What is a Selective Contracting Arrangement?
A: A Selective Contracting Arrangement is a type of contract between a health insurer and healthcare providers where the insurer only contracts with a limited network of providers.

Q: How does a Selective Contracting Arrangement work?
A: Under a Selective Contracting Arrangement, the health insurer negotiates discounted rates with a limited network of healthcare providers. Insured individuals are typically required to use providers within the network to receive the full benefits of their insurance plan.

Q: Is participation in a Selective Contracting Arrangement mandatory?
A: No, participation in a Selective Contracting Arrangement is not mandatory. Individuals are still able to choose healthcare providers outside of the network, but they may have to pay higher out-of-pocket costs.

Q: What are the benefits of a Selective Contracting Arrangement?
A: The benefits of a Selective Contracting Arrangement include lower costs for both the health insurer and the insured individuals. By negotiating discounted rates with a limited network, the insurer can offer more affordable insurance plans.

Q: Can healthcare providers opt out of a Selective Contracting Arrangement?
A: Healthcare providers have the choice to participate or not participate in a Selective Contracting Arrangement. Providers who choose to participate agree to the negotiated rates and restrictions set by the health insurer.

Q: Are there any disadvantages to a Selective Contracting Arrangement?
A: One potential disadvantage of a Selective Contracting Arrangement is the limited choice of healthcare providers. Individuals may have to travel farther or wait longer for appointments if their preferred providers are outside of the network.

ADVERTISEMENT

Form Details:

  • The latest edition currently provided by the New Jersey Department of Banking and Insurance;
  • Ready to use and print;
  • Easy to customize;
  • Compatible with most PDF-viewing applications;
  • Fill out the form in our online filing application.

Download a fillable version of the form by clicking the link below or browse more documents and templates provided by the New Jersey Department of Banking and Insurance.

Download Selective Contracting Arrangement Application - New Jersey

4.3 of 5 (22 votes)
  • Selective Contracting Arrangement Application - New Jersey

    1

  • Selective Contracting Arrangement Application - New Jersey, Page 2

    2

  • Selective Contracting Arrangement Application - New Jersey, Page 3

    3

  • Selective Contracting Arrangement Application - New Jersey, Page 4

    4

  • Selective Contracting Arrangement Application - New Jersey, Page 5

    5

  • Selective Contracting Arrangement Application - New Jersey, Page 1
  • Selective Contracting Arrangement Application - New Jersey, Page 2
  • Selective Contracting Arrangement Application - New Jersey, Page 3
  • Selective Contracting Arrangement Application - New Jersey, Page 4
  • Selective Contracting Arrangement Application - New Jersey, Page 5
Prev 1 2 3 4 5 Next
ADVERTISEMENT