Certification of Hazardous Materials & Osha Training for Transporters of Hazardous Industrial / Commercial Waste, and Regulated Medical Waste in New York State - New York

Certification of Hazardous Materials & Osha Training for Transporters of Hazardous Industrial / Commercial Waste, and Regulated Medical Waste in New York State - New York

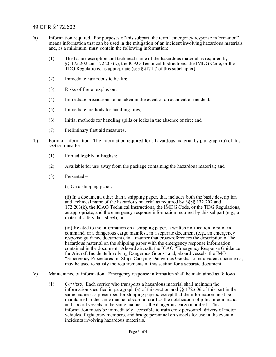
Certification of Hazardous Materials & Osha Training for Transporters of Hazardous Industrial/Commercial Waste, and Regulated Medical Waste in New York State is a legal document that was released by the New York State Department of Environmental Conservation - a government authority operating within New York.

FAQ

Q: What is the certification of Hazardous Materials?
A: Certification of Hazardous Materials is a training program that ensures individuals have the necessary knowledge and skills to handle and transport hazardous materials safely.

Q: What is OSHA training for transporters of hazardous waste?
A: OSHA training for transporters of hazardous waste is a program that teaches individuals about the Occupational Safety and Health Administration (OSHA) regulations and guidelines for safely handling and transporting hazardous waste.

Q: What is regulated medical waste?
A: Regulated medical waste refers to any waste material generated in healthcare facilities that may pose a risk of infection or injury to humans. Examples include used sharps, contaminated materials, and expired pharmaceuticals.

Q: Do transporters of hazardous waste need to be certified?
A: Yes, transporters of hazardous waste need to be certified to comply with the regulations and ensure the safe handling and transportation of hazardous materials.

Q: Is certification required for handling regulated medical waste?
A: Yes, certification is required for handling regulated medical waste to ensure proper disposal and prevent potential health hazards.

Q: What are the benefits of having certification for handling hazardous materials?
A: Having certification for handling hazardous materials demonstrates your competency and commitment to safety, which can enhance job opportunities and ensure compliance with legal requirements.

Q: Are there any specific regulations for transporting hazardous waste in New York State?
A: Yes, New York State has specific regulations for transporting hazardous waste, which include requirements for labeling, packaging, and documentation to ensure proper handling and disposal.

Q: Are there any specific regulations for dealing with regulated medical waste in New York State?
A: Yes, New York State has specific regulations for dealing with regulated medical waste, including requirements for proper storage, transportation, and disposal to protect public health and the environment.

Q: Is there a renewal process for hazardous materials certification?
A: Yes, hazardous materials certification typically has a renewal process that requires individuals to update their training periodically to stay current with regulations and best practices.

ADVERTISEMENT

Form Details:

  • The latest edition currently provided by the New York State Department of Environmental Conservation;
  • Ready to use and print;
  • Easy to customize;
  • Compatible with most PDF-viewing applications;
  • Fill out the form in our online filing application.

Download a printable version of the form by clicking the link below or browse more documents and templates provided by the New York State Department of Environmental Conservation.

Download Certification of Hazardous Materials & Osha Training for Transporters of Hazardous Industrial / Commercial Waste, and Regulated Medical Waste in New York State - New York

4.4 of 5 (29 votes)
  • Certification of Hazardous Materials & Osha Training for Transporters of Hazardous Industrial/Commercial Waste, and Regulated Medical Waste in New York State - New York

    1

  • Certification of Hazardous Materials & Osha Training for Transporters of Hazardous Industrial/Commercial Waste, and Regulated Medical Waste in New York State - New York, Page 2

    2

  • Certification of Hazardous Materials & Osha Training for Transporters of Hazardous Industrial/Commercial Waste, and Regulated Medical Waste in New York State - New York, Page 3

    3

  • Certification of Hazardous Materials & Osha Training for Transporters of Hazardous Industrial/Commercial Waste, and Regulated Medical Waste in New York State - New York, Page 4

    4

  • Certification of Hazardous Materials  Osha Training for Transporters of Hazardous Industrial / Commercial Waste, and Regulated Medical Waste in New York State - New York, Page 1
  • Certification of Hazardous Materials  Osha Training for Transporters of Hazardous Industrial / Commercial Waste, and Regulated Medical Waste in New York State - New York, Page 2
  • Certification of Hazardous Materials  Osha Training for Transporters of Hazardous Industrial / Commercial Waste, and Regulated Medical Waste in New York State - New York, Page 3
  • Certification of Hazardous Materials  Osha Training for Transporters of Hazardous Industrial / Commercial Waste, and Regulated Medical Waste in New York State - New York, Page 4
Prev 1 2 3 4 Next
ADVERTISEMENT