Form F80 Notice of Appeal " Standard Directions - British Columbia, Canada

Notification Icon This version of the form is not currently in use and is provided for reference only. Download this version of Form F80 for the current year.

Form F80 Notice of Appeal " Standard Directions - British Columbia, Canada

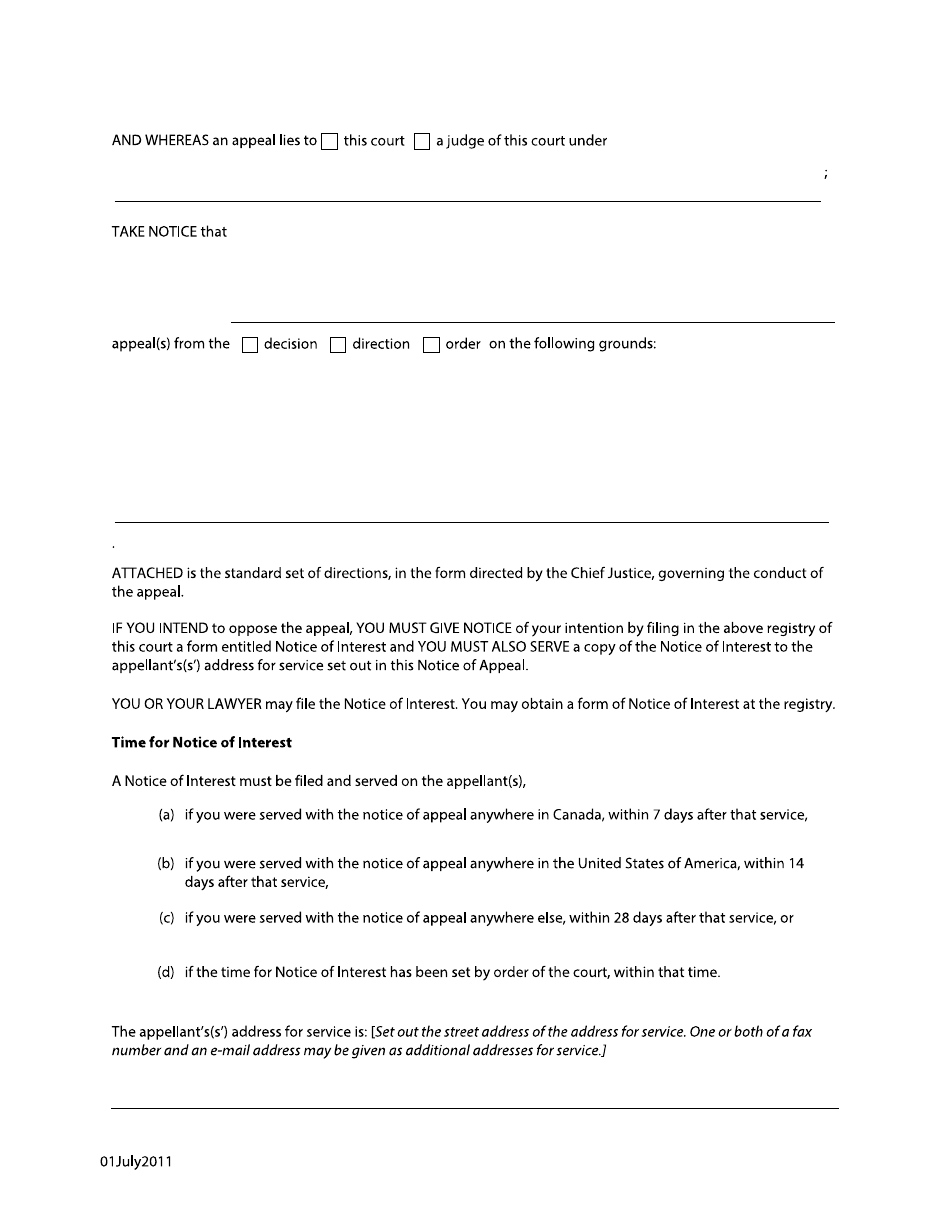
Form F80 Notice of Appeal "Standard Directions" is used in British Columbia, Canada for appealing a decision made by a provincial court or tribunal. It sets out the standard directions that apply to the appeal process.

The Form F80 Notice of Appeal " Standard Directions in British Columbia, Canada is filed by the appellant or their authorized representative.

FAQ

Q: What is Form F80?
A: Form F80 is a Notice of Appeal - Standard Directions in British Columbia, Canada.

Q: What is the purpose of Form F80?
A: The purpose of Form F80 is to initiate an appeal process in British Columbia, Canada.

Q: What are Standard Directions?
A: Standard Directions refer to the procedural instructions that must be followed during an appeal process.

Q: Who uses Form F80?
A: Form F80 is used by individuals or parties who want to appeal a decision in British Columbia, Canada.

Q: What information is required in Form F80?
A: Form F80 requires information such as the name of the appellant, details of the decision being appealed, and contact information.

Q: What happens after submitting Form F80?
A: After submitting Form F80, the appeal process will proceed according to the standard directions set by the court.

Q: Is there a deadline for submitting Form F80?
A: Yes, there is a deadline for submitting Form F80. It is important to consult the rules of the specific court where the appeal is being filed to determine the deadline.

Q: Can I get legal assistance to complete Form F80?
A: Yes, you can seek legal assistance from a lawyer or a legal professional to help you complete and file Form F80.

ADVERTISEMENT

Download Form F80 Notice of Appeal " Standard Directions - British Columbia, Canada

4.3 of 5 (8 votes)
  • Form F80 Notice of Appeal " Standard Directions - British Columbia, Canada

    1

  • Form F80 Notice of Appeal " Standard Directions - British Columbia, Canada, Page 2

    2

  • Form F80 Notice of Appeal " Standard Directions - British Columbia, Canada, Page 3

    3

  • Form F80 Notice of Appeal  Standard Directions - British Columbia, Canada, Page 1
  • Form F80 Notice of Appeal  Standard Directions - British Columbia, Canada, Page 2
  • Form F80 Notice of Appeal  Standard Directions - British Columbia, Canada, Page 3
Prev 1 2 3 Next
ADVERTISEMENT