Form for Preparation of a Work Plan for Mineral Exploration in Labrador Inuit Lands - Newfoundland and Labrador, Canada

Form for Preparation of a Work Plan for Mineral Exploration in Labrador Inuit Lands - Newfoundland and Labrador, Canada

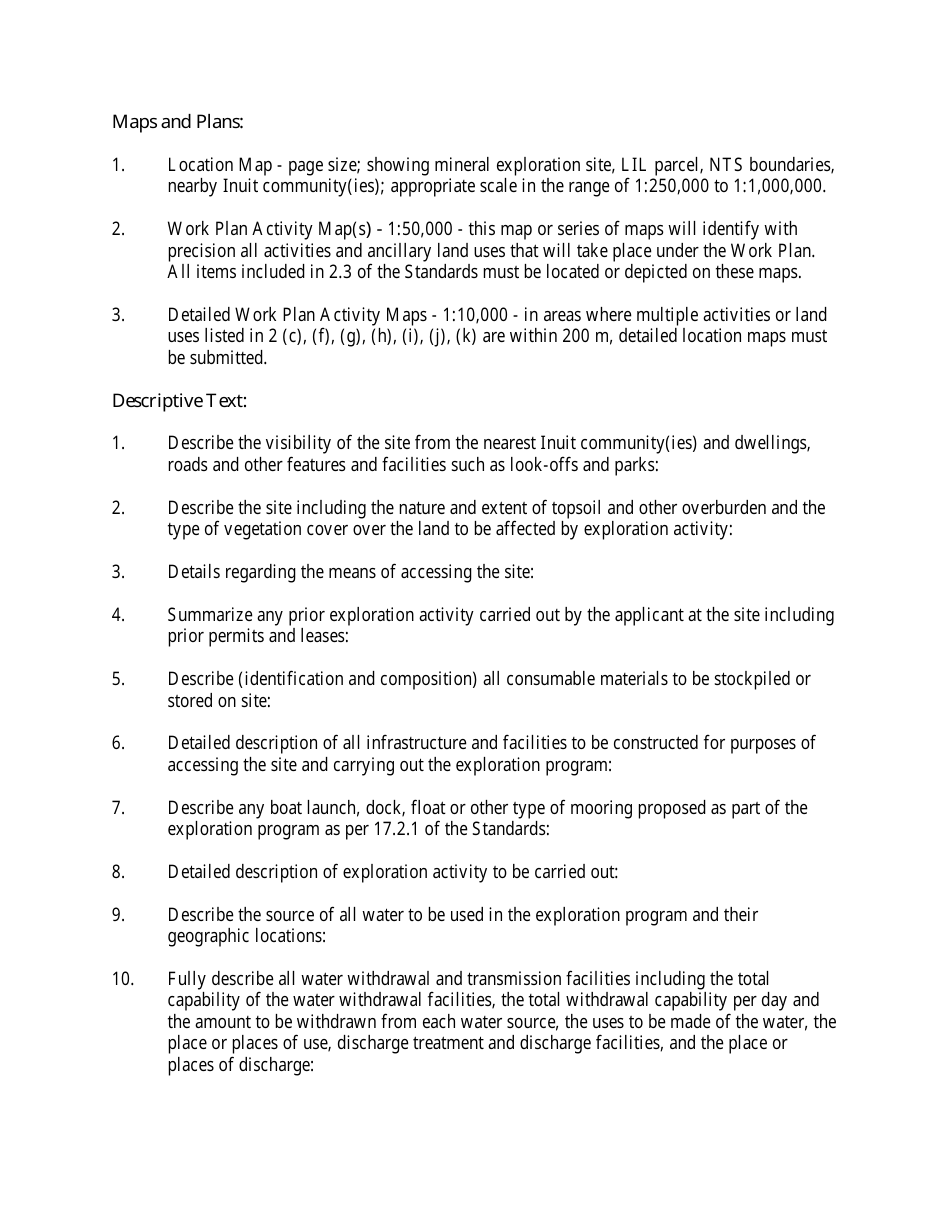
The Form for Preparation of a Work Plan for Mineral Exploration in Labrador Inuit Lands is used to outline the proposed activities and schedule for mineral exploration in the Labrador Inuit Lands in Newfoundland and Labrador, Canada.

The company or organization undertaking the mineral exploration in Labrador Inuit Lands, Newfoundland and Labrador, Canada would file the form for the preparation of a work plan.

FAQ

Q: What is the purpose of the form for Preparation of a Work Plan for Mineral Exploration?
A: The form is used to prepare a work plan for mineral exploration in Labrador Inuit Lands.

Q: Who is required to fill out this form?
A: Those who are planning to conduct mineral exploration in Labrador Inuit Lands need to fill out this form.

Q: What information is needed to complete the form?
A: The form requires information about the applicant, the proposed work plan, environmental effects, and consultation with the Inuit community.

Q: What is the purpose of the work plan?
A: The work plan outlines the activities and timelines for mineral exploration in Labrador Inuit Lands.

Q: What is the importance of consulting with the Inuit community?
A: Consultation with the Inuit community is important to address any potential impacts of the mineral exploration on their land and to ensure their involvement in the decision-making process.

ADVERTISEMENT

Download Form for Preparation of a Work Plan for Mineral Exploration in Labrador Inuit Lands - Newfoundland and Labrador, Canada

4.8 of 5 (25 votes)
  • Form for Preparation of a Work Plan for Mineral Exploration in Labrador Inuit Lands - Newfoundland and Labrador, Canada

    1

  • Form for Preparation of a Work Plan for Mineral Exploration in Labrador Inuit Lands - Newfoundland and Labrador, Canada, Page 2

    2

  • Form for Preparation of a Work Plan for Mineral Exploration in Labrador Inuit Lands - Newfoundland and Labrador, Canada, Page 3

    3

  • Form for Preparation of a Work Plan for Mineral Exploration in Labrador Inuit Lands - Newfoundland and Labrador, Canada, Page 4

    4

  • Form for Preparation of a Work Plan for Mineral Exploration in Labrador Inuit Lands - Newfoundland and Labrador, Canada, Page 1
  • Form for Preparation of a Work Plan for Mineral Exploration in Labrador Inuit Lands - Newfoundland and Labrador, Canada, Page 2
  • Form for Preparation of a Work Plan for Mineral Exploration in Labrador Inuit Lands - Newfoundland and Labrador, Canada, Page 3
  • Form for Preparation of a Work Plan for Mineral Exploration in Labrador Inuit Lands - Newfoundland and Labrador, Canada, Page 4
Prev 1 2 3 4 Next
ADVERTISEMENT