Form NHJB-2209-DF Acknowledgment of Possible Consequences to Parental Rights in Abuse and Neglect Cases - New Hampshire

Form NHJB-2209-DF Acknowledgment of Possible Consequences to Parental Rights in Abuse and Neglect Cases - New Hampshire

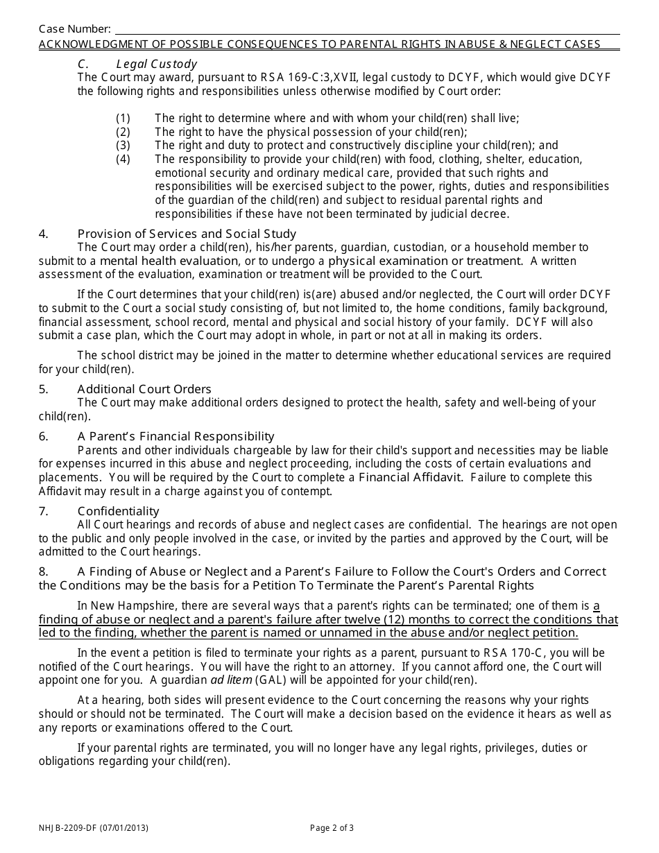
What Is Form NHJB-2209-DF?

This is a legal form that was released by the New Hampshire Judicial Branch - a government authority operating within New Hampshire. As of today, no separate filing guidelines for the form are provided by the issuing department.

FAQ

Q: What is NHJB-2209-DF?
A: NHJB-2209-DF is a form for Acknowledgment of Possible Consequences to Parental Rights in Abuse and Neglect Cases in New Hampshire.

Q: What does the form acknowledge?
A: The form acknowledges the potential consequences to parental rights in abuse and neglect cases.

Q: Who is this form for?
A: This form is for parents involved in abuse and neglect cases in New Hampshire.

Q: What are possible consequences to parental rights?
A: Possible consequences to parental rights may include termination of parental rights or restrictions on custody and visitation.

ADVERTISEMENT

Form Details:

  • Released on July 1, 2013;
  • The latest edition provided by the New Hampshire Judicial Branch;
  • Easy to use and ready to print;
  • Quick to customize;
  • Compatible with most PDF-viewing applications;
  • Fill out the form in our online filing application.

Download a fillable version of Form NHJB-2209-DF by clicking the link below or browse more documents and templates provided by the New Hampshire Judicial Branch.

Download Form NHJB-2209-DF Acknowledgment of Possible Consequences to Parental Rights in Abuse and Neglect Cases - New Hampshire

4.5 of 5 (11 votes)
  • Form NHJB-2209-DF Acknowledgment of Possible Consequences to Parental Rights in Abuse and Neglect Cases - New Hampshire

    1

  • Form NHJB-2209-DF Acknowledgment of Possible Consequences to Parental Rights in Abuse and Neglect Cases - New Hampshire, Page 2

    2

  • Form NHJB-2209-DF Acknowledgment of Possible Consequences to Parental Rights in Abuse and Neglect Cases - New Hampshire, Page 3

    3

  • Form NHJB-2209-DF Acknowledgment of Possible Consequences to Parental Rights in Abuse and Neglect Cases - New Hampshire, Page 1
  • Form NHJB-2209-DF Acknowledgment of Possible Consequences to Parental Rights in Abuse and Neglect Cases - New Hampshire, Page 2
  • Form NHJB-2209-DF Acknowledgment of Possible Consequences to Parental Rights in Abuse and Neglect Cases - New Hampshire, Page 3
Prev 1 2 3 Next
ADVERTISEMENT

Related Documents