Application for New Salt Water Disposal Easement - New Mexico

Notification Icon This version of the form is not currently in use and is provided for reference only. Download this version of the document for the current year.

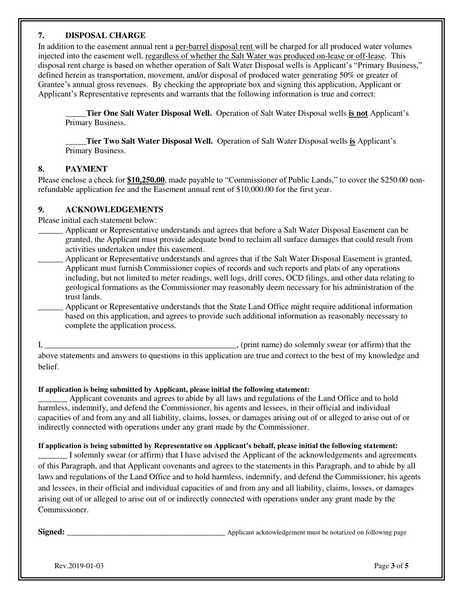
Application for New Salt Water Disposal Easement - New Mexico

Application for New Salt Water Disposal Easement is a legal document that was released by the New Mexico State Land Office - a government authority operating within New Mexico.

FAQ

Q: What is a Salt Water Disposal Easement?
A: A Salt Water Disposal Easement is a legal right to dispose of saltwater produced during oil and gas operations on a property.

Q: Why would someone need a Salt Water Disposal Easement?
A: Someone would need a Salt Water Disposal Easement to legally dispose of saltwater produced during oil and gas operations in a designated area.

Q: How can I apply for a Salt Water Disposal Easement in New Mexico?
A: To apply for a Salt Water Disposal Easement in New Mexico, you will need to contact the appropriate regulatory agency and follow their application process.

Q: Are there any fees associated with obtaining a Salt Water Disposal Easement?
A: There may be fees associated with obtaining a Salt Water Disposal Easement. You should contact the regulatory agency for more information.

Q: What are the regulations and requirements for a Salt Water Disposal Easement in New Mexico?
A: The regulations and requirements for a Salt Water Disposal Easement in New Mexico vary. It is best to consult with the regulatory agency for specific details.

ADVERTISEMENT

Form Details:

  • Released on January 3, 2019;
  • The latest edition currently provided by the New Mexico State Land Office;
  • Ready to use and print;
  • Easy to customize;
  • Compatible with most PDF-viewing applications;
  • Fill out the form in our online filing application.

Download a printable version of the form by clicking the link below or browse more documents and templates provided by the New Mexico State Land Office.

Download Application for New Salt Water Disposal Easement - New Mexico

4.3 of 5 (29 votes)
  • Application for New Salt Water Disposal Easement - New Mexico

    1

  • Application for New Salt Water Disposal Easement - New Mexico, Page 2

    2

  • Application for New Salt Water Disposal Easement - New Mexico, Page 3

    3

  • Application for New Salt Water Disposal Easement - New Mexico, Page 4

    4

  • Application for New Salt Water Disposal Easement - New Mexico, Page 5

    5

  • Application for New Salt Water Disposal Easement - New Mexico, Page 1
  • Application for New Salt Water Disposal Easement - New Mexico, Page 2
  • Application for New Salt Water Disposal Easement - New Mexico, Page 3
  • Application for New Salt Water Disposal Easement - New Mexico, Page 4
  • Application for New Salt Water Disposal Easement - New Mexico, Page 5
Prev 1 2 3 4 5 Next
ADVERTISEMENT