Form LDSS-4623B Adoption Subsidy and Non-recurring Adoption Expenses Agreement - New York

Form LDSS-4623B Adoption Subsidy and Non-recurring Adoption Expenses Agreement - New York

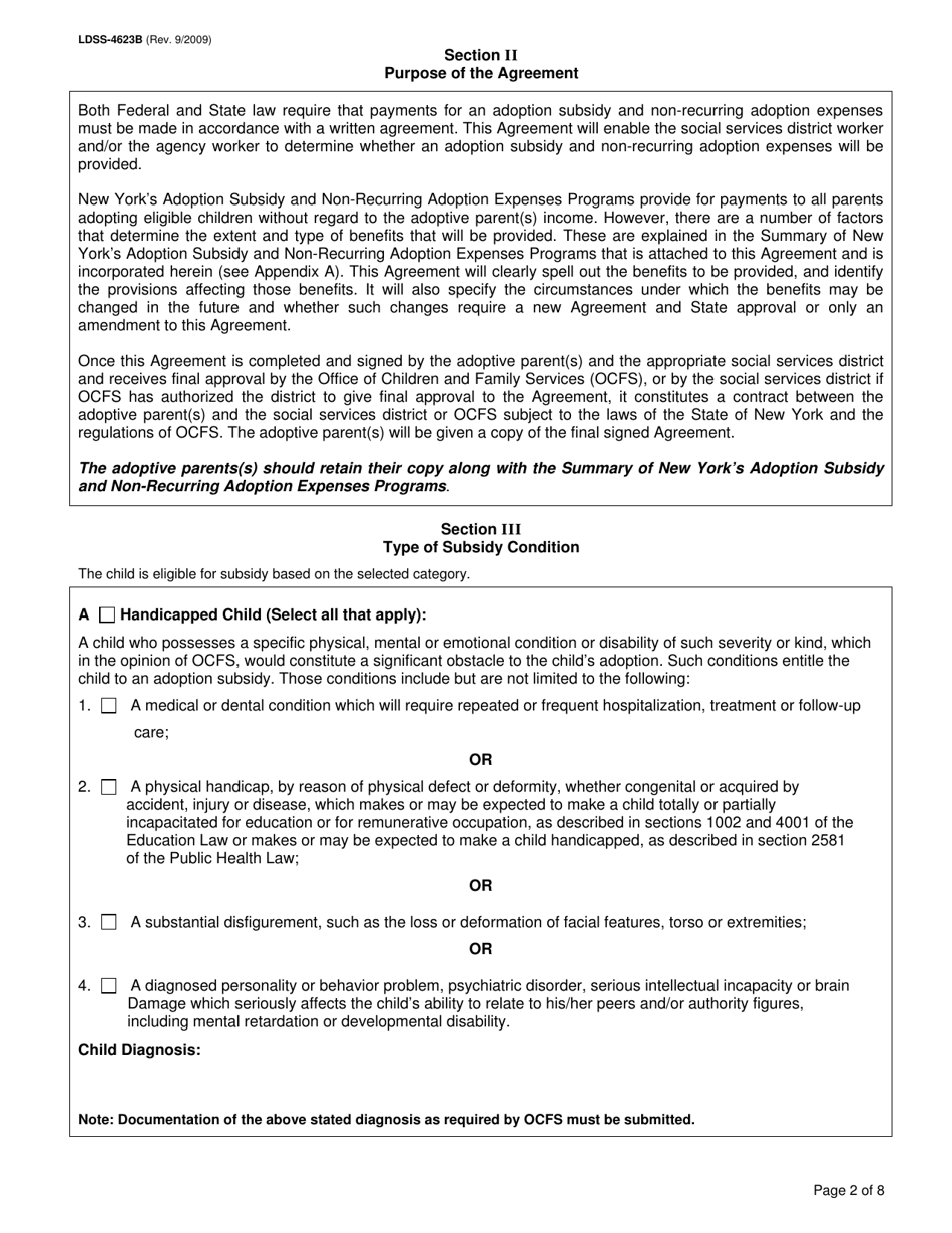
What Is Form LDSS-4623B?

This is a legal form that was released by the New York State Office of Children and Family Services - a government authority operating within New York. As of today, no separate filing guidelines for the form are provided by the issuing department.

FAQ

Q: What is LDSS-4623B?
A: LDSS-4623B is a form used in New York for Adoption Subsidy and Non-recurring Adoption Expenses Agreement.

Q: What is Adoption Subsidy?
A: Adoption subsidy is a financial assistance program provided to adoptive parents to support the care of an adopted child.

Q: What are Non-recurring Adoption Expenses?
A: Non-recurring adoption expenses are one-time costs incurred by adoptive parents during the adoption process, such as legal fees or medical expenses.

Q: Who can apply for Adoption Subsidy?
A: Adoptive parents who meet certain criteria, such as adopting a child with special needs, may be eligible to apply for Adoption Subsidy.

Q: What is the purpose of LDSS-4623B?
A: The purpose of LDSS-4623B is to establish an agreement between the adoptive parents and the local social services district regarding the subsidies and expenses related to the adoption.

Q: What information is required in LDSS-4623B form?
A: The LDSS-4623B form requires information about the adoptive parents, the adopted child, the type of adoption, and details about the adoption subsidy and non-recurring adoption expenses.

Q: Is there a deadline for submitting LDSS-4623B form?
A: The deadline for submitting the LDSS-4623B form may vary depending on the local social services district. It is best to check with them for the specific deadline.

Q: Can the Adoption Subsidy amount be changed?
A: Yes, the amount of Adoption Subsidy can be changed based on the needs of the adopted child. It may be increased or decreased after a reassessment of the child's needs.

Q: What happens if the adoptive parents disagree with the decision regarding Adoption Subsidy?
A: If the adoptive parents disagree with the decision regarding Adoption Subsidy, they have the right to request a fair hearing to review the decision.

ADVERTISEMENT

Form Details:

  • Released on September 1, 2009;
  • The latest edition provided by the New York State Office of Children and Family Services;
  • Easy to use and ready to print;
  • Quick to customize;
  • Compatible with most PDF-viewing applications;
  • Fill out the form in our online filing application.

Download a printable version of Form LDSS-4623B by clicking the link below or browse more documents and templates provided by the New York State Office of Children and Family Services.

Download Form LDSS-4623B Adoption Subsidy and Non-recurring Adoption Expenses Agreement - New York

4.4 of 5 (14 votes)
  • Form LDSS-4623B Adoption Subsidy and Non-recurring Adoption Expenses Agreement - New York

    1

  • Form LDSS-4623B Adoption Subsidy and Non-recurring Adoption Expenses Agreement - New York, Page 2

    2

  • Form LDSS-4623B Adoption Subsidy and Non-recurring Adoption Expenses Agreement - New York, Page 3

    3

  • Form LDSS-4623B Adoption Subsidy and Non-recurring Adoption Expenses Agreement - New York, Page 4

    4

  • Form LDSS-4623B Adoption Subsidy and Non-recurring Adoption Expenses Agreement - New York, Page 5

    5

  • Form LDSS-4623B Adoption Subsidy and Non-recurring Adoption Expenses Agreement - New York, Page 6

    6

  • Form LDSS-4623B Adoption Subsidy and Non-recurring Adoption Expenses Agreement - New York, Page 7

    7

  • Form LDSS-4623B Adoption Subsidy and Non-recurring Adoption Expenses Agreement - New York, Page 8

    8

  • Form LDSS-4623B Adoption Subsidy and Non-recurring Adoption Expenses Agreement - New York, Page 1
  • Form LDSS-4623B Adoption Subsidy and Non-recurring Adoption Expenses Agreement - New York, Page 2
  • Form LDSS-4623B Adoption Subsidy and Non-recurring Adoption Expenses Agreement - New York, Page 3
  • Form LDSS-4623B Adoption Subsidy and Non-recurring Adoption Expenses Agreement - New York, Page 4
  • Form LDSS-4623B Adoption Subsidy and Non-recurring Adoption Expenses Agreement - New York, Page 5
  • Form LDSS-4623B Adoption Subsidy and Non-recurring Adoption Expenses Agreement - New York, Page 6
  • Form LDSS-4623B Adoption Subsidy and Non-recurring Adoption Expenses Agreement - New York, Page 7
  • Form LDSS-4623B Adoption Subsidy and Non-recurring Adoption Expenses Agreement - New York, Page 8
Prev 1 2 3 4 5 ... 8 Next
ADVERTISEMENT

Related Documents