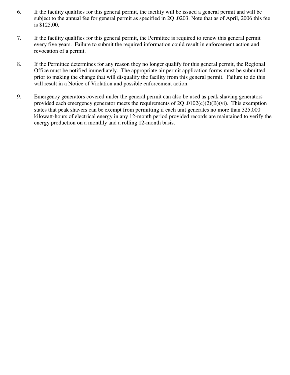
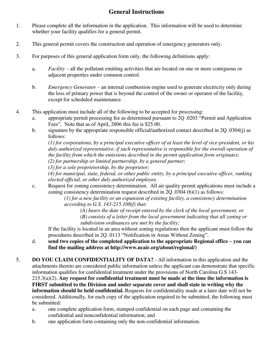
General Permit Application Form for Emergency Generators - North Carolina

General Permit Application Form for Emergency Generators - North Carolina

General Permit Application Form for Emergency Generators is a legal document that was released by the North Carolina Department of Environmental Quality - a government authority operating within North Carolina.

FAQ

Q: What is the purpose of the General Permit Application Form for Emergency Generators?
A: The purpose of this form is to apply for a general permit for emergency generators in North Carolina.

Q: Who needs to fill out this form?
A: Individuals or businesses planning to install or operate emergency generators in North Carolina need to fill out this form.

Q: What information is required on the form?
A: The form requires information about the generator, its location, and the applicant's contact information.

Q: Are there any fees associated with the application?
A: Yes, there are application fees that need to be paid along with the submission of the form.

Q: Is there a deadline for submitting the form?
A: There is no specific deadline mentioned for submitting the form, but it is recommended to submit it well before the planned installation or operation of the generator.

Q: What happens after the form is submitted?
A: The DEQ will review the application and issue a general permit if all requirements are met. The applicant will be notified of the permit status.

Q: Can the permit be transferred to a different location?
A: No, the general permit is specific to the location mentioned on the application form. A new application is required for a different location.

ADVERTISEMENT

Form Details:

  • Released on April 11, 2006;
  • The latest edition currently provided by the North Carolina Department of Environmental Quality;
  • Ready to use and print;
  • Easy to customize;
  • Compatible with most PDF-viewing applications;
  • Fill out the form in our online filing application.

Download a printable version of the form by clicking the link below or browse more documents and templates provided by the North Carolina Department of Environmental Quality.

Download General Permit Application Form for Emergency Generators - North Carolina

4.7 of 5 (35 votes)
  • General Permit Application Form for Emergency Generators - North Carolina

    1

  • General Permit Application Form for Emergency Generators - North Carolina, Page 2

    2

  • General Permit Application Form for Emergency Generators - North Carolina, Page 3

    3

  • General Permit Application Form for Emergency Generators - North Carolina, Page 4

    4

  • General Permit Application Form for Emergency Generators - North Carolina, Page 1
  • General Permit Application Form for Emergency Generators - North Carolina, Page 2
  • General Permit Application Form for Emergency Generators - North Carolina, Page 3
  • General Permit Application Form for Emergency Generators - North Carolina, Page 4
Prev 1 2 3 4 Next
ADVERTISEMENT

Related Documents