Nc Daas Cosumer Direcred Services Participant Self-assessment Form - North Carolina

Nc Daas Cosumer Direcred Services Participant Self-assessment Form - North Carolina

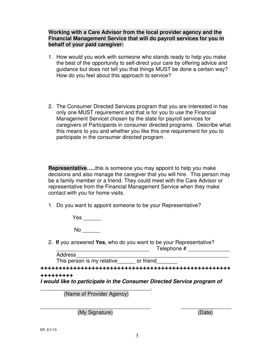
Nc Daas Cosumer Direcred Services Participant Self-assessment Form is a legal document that was released by the North Carolina Department of Health and Human Services - a government authority operating within North Carolina.

FAQ

Q: What is the purpose of the Nc Daas Cosumer Direcred Services Participant Self-assessment Form?
A: The purpose of the form is for participants in North Carolina's Consumer Directed Services program to assess their own needs and preferences.

Q: Who should complete the Nc Daas Cosumer Direcred Services Participant Self-assessment Form?
A: Participants in North Carolina's Consumer Directed Services program should complete the form.

Q: What does the Nc Daas Cosumer Direcred Services Participant Self-assessment Form help participants assess?
A: The form helps participants assess their needs and preferences for services and supports in the program.

Q: Is the Nc Daas Cosumer Direcred Services Participant Self-assessment Form mandatory?
A: Yes, it is mandatory for participants in the Consumer Directed Services program to complete the form.

ADVERTISEMENT

Form Details:

  • The latest edition currently provided by the North Carolina Department of Health and Human Services;
  • Ready to use and print;
  • Easy to customize;
  • Compatible with most PDF-viewing applications;
  • Fill out the form in our online filing application.

Download a printable version of the form by clicking the link below or browse more documents and templates provided by the North Carolina Department of Health and Human Services.

Download Nc Daas Cosumer Direcred Services Participant Self-assessment Form - North Carolina

4.3 of 5 (63 votes)
  • Nc Daas Cosumer Direcred Services Participant Self-assessment Form - North Carolina

    1

  • Nc Daas Cosumer Direcred Services Participant Self-assessment Form - North Carolina, Page 2

    2

  • Nc Daas Cosumer Direcred Services Participant Self-assessment Form - North Carolina, Page 3

    3

  • Nc Daas Cosumer Direcred Services Participant Self-assessment Form - North Carolina, Page 1
  • Nc Daas Cosumer Direcred Services Participant Self-assessment Form - North Carolina, Page 2
  • Nc Daas Cosumer Direcred Services Participant Self-assessment Form - North Carolina, Page 3
Prev 1 2 3 Next
ADVERTISEMENT