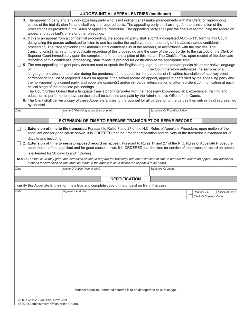
Form AOC-CV-112 Appellate Entries for When Movant Appeals Civil Contempt Proceeding - North Carolina

Notification Icon This version of the form is not currently in use and is provided for reference only. Download this version of Form AOC-CV-112 for the current year.

Form AOC-CV-112 Appellate Entries for When Movant Appeals Civil Contempt Proceeding - North Carolina

What Is Form AOC-CV-112?

This is a legal form that was released by the North Carolina Court System - a government authority operating within North Carolina. As of today, no separate filing guidelines for the form are provided by the issuing department.

Form Details:

  • Released on February 1, 2019;
  • The latest edition provided by the North Carolina Court System;
  • Easy to use and ready to print;
  • Quick to customize;
  • Compatible with most PDF-viewing applications;
  • Fill out the form in our online filing application.

Download a fillable version of Form AOC-CV-112 by clicking the link below or browse more documents and templates provided by the North Carolina Court System.

ADVERTISEMENT

Download Form AOC-CV-112 Appellate Entries for When Movant Appeals Civil Contempt Proceeding - North Carolina

4.3 of 5 (100 votes)
  • Form AOC-CV-112 Appellate Entries for When Movant Appeals Civil Contempt Proceeding - North Carolina

    1

  • Form AOC-CV-112 Appellate Entries for When Movant Appeals Civil Contempt Proceeding - North Carolina, Page 2

    2

  • Form AOC-CV-112 Appellate Entries for When Movant Appeals Civil Contempt Proceeding - North Carolina, Page 1
  • Form AOC-CV-112 Appellate Entries for When Movant Appeals Civil Contempt Proceeding - North Carolina, Page 2
Prev 1 2 Next
ADVERTISEMENT

Related Documents