Form AOC-CR-633D Conditional Discharge Under G.s. 15a-1341(A5) (For Offenses Committed on or After Dec. 1, 2016) - North Carolina (English / Vietnamese)

Form AOC-CR-633D Conditional Discharge Under G.s. 15a-1341(A5) (For Offenses Committed on or After Dec. 1, 2016) - North Carolina (English / Vietnamese)

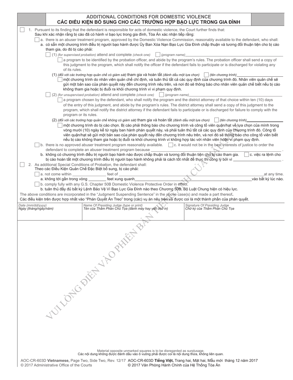
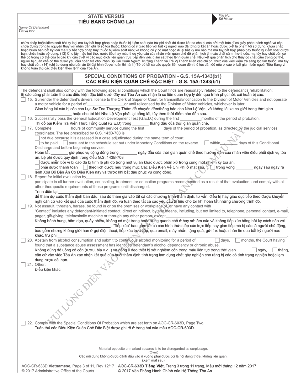
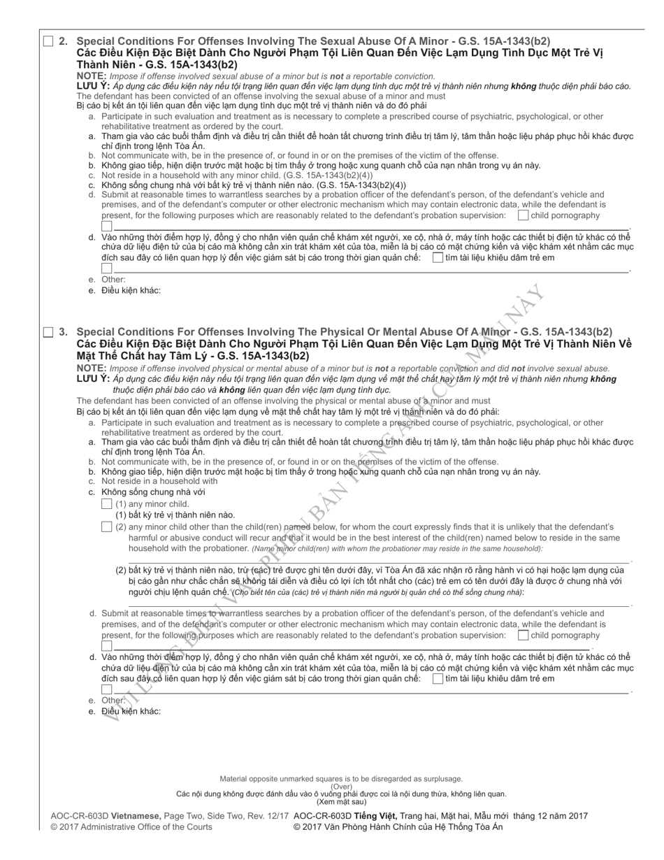
What Is Form AOC-CR-633D?

This is a legal form that was released by the North Carolina Court System - a government authority operating within North Carolina. As of today, no separate filing guidelines for the form are provided by the issuing department.

FAQ

Q: What is Form AOC-CR-633D?
A: Form AOC-CR-633D is a document related to a conditional discharge under G.s. 15a-1341(A5) in North Carolina.

Q: What does G.s. 15a-1341(A5) refer to?
A: G.s. 15a-1341(A5) is a specific law in North Carolina related to conditional discharge.

Q: What offenses is this form applicable for?
A: This form is applicable for offenses committed on or after Dec. 1, 2016.

Q: Is this form available in Vietnamese?
A: Yes, this form is available in both English and Vietnamese.

ADVERTISEMENT

Form Details:

  • Released on December 1, 2017;
  • The latest edition provided by the North Carolina Court System;
  • Easy to use and ready to print;
  • Quick to customize;
  • Compatible with most PDF-viewing applications;
  • Fill out the form in our online filing application.

Download a printable version of Form AOC-CR-633D by clicking the link below or browse more documents and templates provided by the North Carolina Court System.

Download Form AOC-CR-633D Conditional Discharge Under G.s. 15a-1341(A5) (For Offenses Committed on or After Dec. 1, 2016) - North Carolina (English / Vietnamese)

4.5 of 5 (14 votes)
  • Form AOC-CR-633D Conditional Discharge Under G.s. 15a-1341(A5) (For Offenses Committed on or After Dec. 1, 2016) - North Carolina (English/Vietnamese)

    1

  • Form AOC-CR-633D Conditional Discharge Under G.s. 15a-1341(A5) (For Offenses Committed on or After Dec. 1, 2016) - North Carolina (English/Vietnamese), Page 2

    2

  • Form AOC-CR-633D Conditional Discharge Under G.s. 15a-1341(A5) (For Offenses Committed on or After Dec. 1, 2016) - North Carolina (English/Vietnamese), Page 3

    3

  • Form AOC-CR-633D Conditional Discharge Under G.s. 15a-1341(A5) (For Offenses Committed on or After Dec. 1, 2016) - North Carolina (English/Vietnamese), Page 4

    4

  • Form AOC-CR-633D Conditional Discharge Under G.s. 15a-1341(A5) (For Offenses Committed on or After Dec. 1, 2016) - North Carolina (English/Vietnamese), Page 5

    5

  • Form AOC-CR-633D Conditional Discharge Under G.s. 15a-1341(A5) (For Offenses Committed on or After Dec. 1, 2016) - North Carolina (English/Vietnamese), Page 6

    6

  • Form AOC-CR-633D Conditional Discharge Under G.s. 15a-1341(A5) (For Offenses Committed on or After Dec. 1, 2016) - North Carolina (English/Vietnamese), Page 7

    7

  • Form AOC-CR-633D Conditional Discharge Under G.s. 15a-1341(A5) (For Offenses Committed on or After Dec. 1, 2016) - North Carolina (English/Vietnamese), Page 8

    8

  • Form AOC-CR-633D Conditional Discharge Under G.s. 15a-1341(A5) (For Offenses Committed on or After Dec. 1, 2016) - North Carolina (English/Vietnamese), Page 9

    9

  • Form AOC-CR-633D Conditional Discharge Under G.s. 15a-1341(A5) (For Offenses Committed on or After Dec. 1, 2016) - North Carolina (English/Vietnamese), Page 10

    10

  • Form AOC-CR-633D Conditional Discharge Under G.s. 15a-1341(A5) (For Offenses Committed on or After Dec. 1, 2016) - North Carolina (English/Vietnamese), Page 11

    11

  • Form AOC-CR-633D Conditional Discharge Under G.s. 15a-1341(A5) (For Offenses Committed on or After Dec. 1, 2016) - North Carolina (English / Vietnamese), Page 1
  • Form AOC-CR-633D Conditional Discharge Under G.s. 15a-1341(A5) (For Offenses Committed on or After Dec. 1, 2016) - North Carolina (English / Vietnamese), Page 2
  • Form AOC-CR-633D Conditional Discharge Under G.s. 15a-1341(A5) (For Offenses Committed on or After Dec. 1, 2016) - North Carolina (English / Vietnamese), Page 3
  • Form AOC-CR-633D Conditional Discharge Under G.s. 15a-1341(A5) (For Offenses Committed on or After Dec. 1, 2016) - North Carolina (English / Vietnamese), Page 4
  • Form AOC-CR-633D Conditional Discharge Under G.s. 15a-1341(A5) (For Offenses Committed on or After Dec. 1, 2016) - North Carolina (English / Vietnamese), Page 5
  • Form AOC-CR-633D Conditional Discharge Under G.s. 15a-1341(A5) (For Offenses Committed on or After Dec. 1, 2016) - North Carolina (English / Vietnamese), Page 6
  • Form AOC-CR-633D Conditional Discharge Under G.s. 15a-1341(A5) (For Offenses Committed on or After Dec. 1, 2016) - North Carolina (English / Vietnamese), Page 7
  • Form AOC-CR-633D Conditional Discharge Under G.s. 15a-1341(A5) (For Offenses Committed on or After Dec. 1, 2016) - North Carolina (English / Vietnamese), Page 8
  • Form AOC-CR-633D Conditional Discharge Under G.s. 15a-1341(A5) (For Offenses Committed on or After Dec. 1, 2016) - North Carolina (English / Vietnamese), Page 9
  • Form AOC-CR-633D Conditional Discharge Under G.s. 15a-1341(A5) (For Offenses Committed on or After Dec. 1, 2016) - North Carolina (English / Vietnamese), Page 10
  • Form AOC-CR-633D Conditional Discharge Under G.s. 15a-1341(A5) (For Offenses Committed on or After Dec. 1, 2016) - North Carolina (English / Vietnamese), Page 11
Prev 1 2 3 4 5 ... 11 Next
ADVERTISEMENT

Related Documents