Form SFN17987 Asbestos Notification of Demolition and Renovation - North Dakota

Form SFN17987 Asbestos Notification of Demolition and Renovation - North Dakota

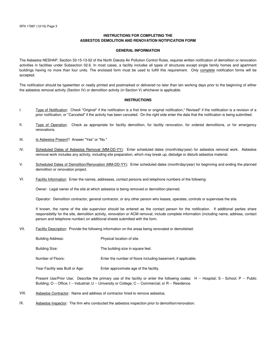
What Is Form SFN17987?

This is a legal form that was released by the North Dakota Department of Health and Human Services - a government authority operating within North Dakota. As of today, no separate filing guidelines for the form are provided by the issuing department.

FAQ

Q: What is SFN17987 Asbestos Notification of Demolition and Renovation?
A: SFN17987 is a form used in North Dakota to notify authorities about asbestos-related demolition or renovation projects.

Q: Who needs to fill out SFN17987?
A: Anyone planning to undertake a demolition or renovation project in North Dakota that involves asbestos-containing material needs to fill out this form.

Q: Why is this form required?
A: This form is required to ensure proper handling and disposal of asbestos materials during demolition or renovation projects and to protect public health.

Q: What information is required on the SFN17987 form?
A: The form requires information about the project location, date, and type, as well as details about the asbestos-containing materials being handled.

Q: Is there a fee for submitting the SFN17987 form?
A: There may be a fee associated with submitting the form, which varies depending on the project size and nature. It is important to check with the local health department for specific fee requirements.

Q: Who should I contact if I have questions about the SFN17987 form?
A: If you have any questions about the SFN17987 form or the asbestos-related regulations in North Dakota, you should contact the local health department or the North Dakota Department of Health.

ADVERTISEMENT

Form Details:

  • Released on March 1, 2017;
  • The latest edition provided by the North Dakota Department of Health and Human Services;
  • Easy to use and ready to print;
  • Quick to customize;
  • Compatible with most PDF-viewing applications;
  • Fill out the form in our online filing application.

Download a fillable version of Form SFN17987 by clicking the link below or browse more documents and templates provided by the North Dakota Department of Health and Human Services.

Download Form SFN17987 Asbestos Notification of Demolition and Renovation - North Dakota

4.8 of 5 (44 votes)
  • Form SFN17987 Asbestos Notification of Demolition and Renovation - North Dakota

    1

  • Form SFN17987 Asbestos Notification of Demolition and Renovation - North Dakota, Page 2

    2

  • Form SFN17987 Asbestos Notification of Demolition and Renovation - North Dakota, Page 3

    3

  • Form SFN17987 Asbestos Notification of Demolition and Renovation - North Dakota, Page 4

    4

  • Form SFN17987 Asbestos Notification of Demolition and Renovation - North Dakota, Page 1
  • Form SFN17987 Asbestos Notification of Demolition and Renovation - North Dakota, Page 2
  • Form SFN17987 Asbestos Notification of Demolition and Renovation - North Dakota, Page 3
  • Form SFN17987 Asbestos Notification of Demolition and Renovation - North Dakota, Page 4
Prev 1 2 3 4 Next
ADVERTISEMENT