Scrap Tire Removal Certifications and Consent Form for Citizens and Businesses - Ohio

Notification Icon This version of the form is not currently in use and is provided for reference only. Download this version of the document for the current year.

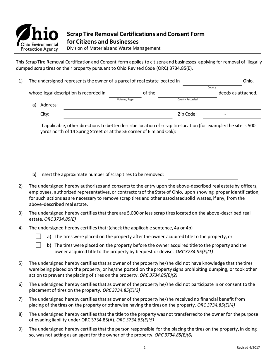
Scrap Tire Removal Certifications and Consent Form for Citizens and Businesses - Ohio

Scrap Tire Removal Certifications and Consent Form for Citizens and Businesses is a legal document that was released by the Ohio Environmental Protection Agency - a government authority operating within Ohio.

FAQ

Q: What is the purpose of the Scrap Tire Removal Certifications and Consent Form?
A: The purpose of the form is to certify the removal and disposal of scrap tires in Ohio.

Q: Who needs to complete the Scrap Tire Removal Certifications and Consent Form?
A: Both citizens and businesses involved in the removal and disposal of scrap tires in Ohio need to complete the form.

Q: Is there a fee to submit the Scrap Tire Removal Certifications and Consent Form?
A: Yes, there is a fee associated with submitting the form. The fee amount depends on the number of tires being removed.

Q: What are the consequences of not completing the Scrap Tire Removal Certifications and Consent Form?
A: Failure to complete the form may result in penalties and legal consequences.

Q: Are there any specific requirements for the disposal of scrap tires in Ohio?
A: Yes, there are specific requirements for the disposal of scrap tires in Ohio. These requirements aim to ensure proper handling and environmentally-friendly disposal of the tires.

ADVERTISEMENT

Form Details:

Download a printable version of the form by clicking the link below or browse more documents and templates provided by the Ohio Environmental Protection Agency.

Download Scrap Tire Removal Certifications and Consent Form for Citizens and Businesses - Ohio

4.4 of 5 (82 votes)
  • Scrap Tire Removal Certifications and Consent Form for Citizens and Businesses - Ohio

    1

  • Scrap Tire Removal Certifications and Consent Form for Citizens and Businesses - Ohio, Page 2

    2

  • Scrap Tire Removal Certifications and Consent Form for Citizens and Businesses - Ohio, Page 3

    3

  • Scrap Tire Removal Certifications and Consent Form for Citizens and Businesses - Ohio, Page 1
  • Scrap Tire Removal Certifications and Consent Form for Citizens and Businesses - Ohio, Page 2
  • Scrap Tire Removal Certifications and Consent Form for Citizens and Businesses - Ohio, Page 3
Prev 1 2 3 Next
ADVERTISEMENT

Related Documents