Preliminary Application to Convert a Federal Credit Union Into a State Chartered Credit Union - Oklahoma

Preliminary Application to Convert a Federal Credit Union Into a State Chartered Credit Union - Oklahoma

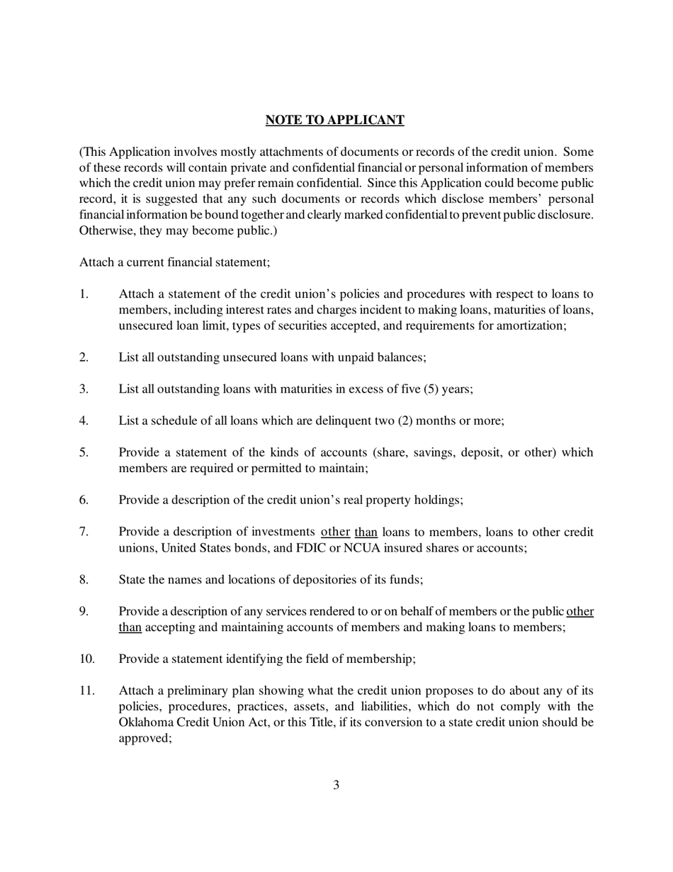
Preliminary Application to Convert a Federal Credit Union Into a State Chartered Credit Union is a legal document that was released by the Oklahoma State Banking Department - a government authority operating within Oklahoma.

FAQ

Q: What is a preliminary application to convert a federal credit union?
A: A preliminary application is a form used to start the process of converting a federal credit union into a state-chartered credit union in Oklahoma.

Q: Why would a federal credit union want to convert into a state-chartered credit union?
A: There could be various reasons for a federal credit union to convert, such as wanting to operate within a specific state or desiring flexibility in state regulations.

Q: What is the difference between a federal credit union and a state-chartered credit union?
A: A federal credit union is regulated by the National Credit Union Administration (NCUA), while a state-chartered credit union is regulated by state authorities.

Q: What is the process of converting a federal credit union to a state-chartered credit union in Oklahoma?
A: The process involves submitting a preliminary application, meeting certain requirements, obtaining approvals from relevant authorities, and completing necessary documentation.

Q: What are some of the requirements for converting a federal credit union into a state-chartered credit union in Oklahoma?
A: Requirements may include providing financial statements, business plans, member notices, and obtaining approval from the National Credit Union Administration.

Q: Is there a fee for submitting the preliminary application?
A: Yes, there is a non-refundable fee which should be submitted along with the preliminary application.

Q: How long does the conversion process usually take?
A: The duration can vary, but it typically takes several months for the conversion process to be completed.

Q: Who can I contact for more information or assistance regarding the conversion process?
A: For more information or assistance, you can contact the Oklahoma State Banking Department or consult a professional advisor familiar with credit union conversions.

ADVERTISEMENT

Form Details:

  • Released on February 1, 2002;
  • The latest edition currently provided by the Oklahoma State Banking Department;
  • Ready to use and print;
  • Easy to customize;
  • Compatible with most PDF-viewing applications;
  • Fill out the form in our online filing application.

Download a printable version of the form by clicking the link below or browse more documents and templates provided by the Oklahoma State Banking Department.

Download Preliminary Application to Convert a Federal Credit Union Into a State Chartered Credit Union - Oklahoma

4.3 of 5 (15 votes)
  • Preliminary Application to Convert a Federal Credit Union Into a State Chartered Credit Union - Oklahoma

    1

  • Preliminary Application to Convert a Federal Credit Union Into a State Chartered Credit Union - Oklahoma, Page 2

    2

  • Preliminary Application to Convert a Federal Credit Union Into a State Chartered Credit Union - Oklahoma, Page 3

    3

  • Preliminary Application to Convert a Federal Credit Union Into a State Chartered Credit Union - Oklahoma, Page 4

    4

  • Preliminary Application to Convert a Federal Credit Union Into a State Chartered Credit Union - Oklahoma, Page 5

    5

  • Preliminary Application to Convert a Federal Credit Union Into a State Chartered Credit Union - Oklahoma, Page 1
  • Preliminary Application to Convert a Federal Credit Union Into a State Chartered Credit Union - Oklahoma, Page 2
  • Preliminary Application to Convert a Federal Credit Union Into a State Chartered Credit Union - Oklahoma, Page 3
  • Preliminary Application to Convert a Federal Credit Union Into a State Chartered Credit Union - Oklahoma, Page 4
  • Preliminary Application to Convert a Federal Credit Union Into a State Chartered Credit Union - Oklahoma, Page 5
Prev 1 2 3 4 5 Next
ADVERTISEMENT