Form R-10610 Schedule of Ad Valorem Tax Credit Claimed by Manufacturers, Distributors and Retailers for Ad Valorem Tax Paid on Inventory or Natural Gas - Louisiana

Notification Icon This version of the form is not currently in use and is provided for reference only. Download this version of Form R-10610 for the current year.

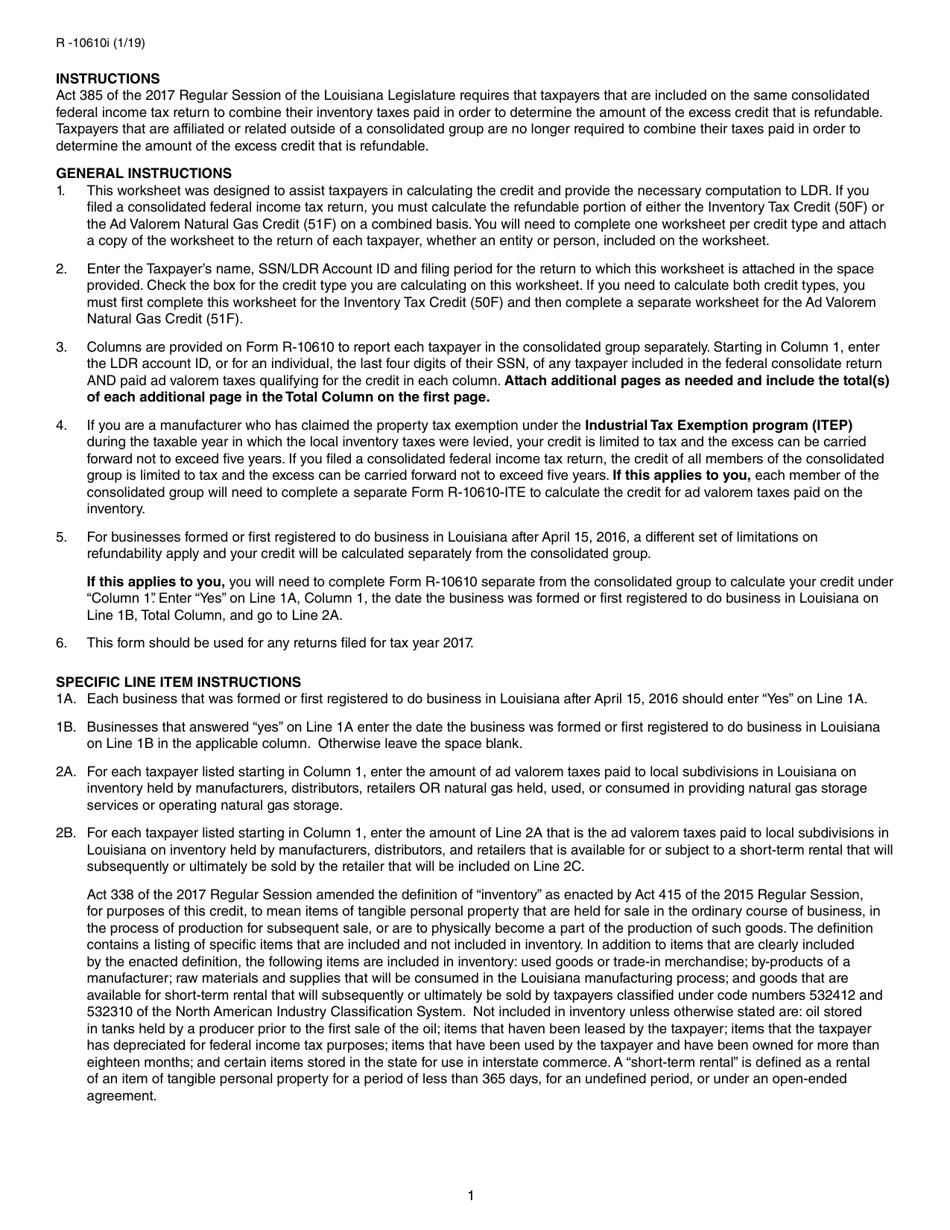
Form R-10610 Schedule of Ad Valorem Tax Credit Claimed by Manufacturers, Distributors and Retailers for Ad Valorem Tax Paid on Inventory or Natural Gas - Louisiana

What Is Form R-10610?

This is a legal form that was released by the Louisiana Department of Revenue - a government authority operating within Louisiana. As of today, no separate filing guidelines for the form are provided by the issuing department.

FAQ

Q: What is Form R-10610?
A: Form R-10610 is a schedule used by manufacturers, distributors, and retailers in Louisiana to claim ad valorem tax credit for inventory or natural gas.

Q: Who can use Form R-10610?
A: Manufacturers, distributors, and retailers in Louisiana can use Form R-10610.

Q: What is the purpose of Form R-10610?
A: The purpose of Form R-10610 is to claim ad valorem tax credit for inventory or natural gas paid by manufacturers, distributors, and retailers in Louisiana.

Q: What types of taxes are covered by Form R-10610?
A: Form R-10610 covers ad valorem tax paid on inventory or natural gas.

Q: When should Form R-10610 be filed?
A: Form R-10610 should be filed annually by the due date of the Louisiana Corporation Income and Franchise Tax Return.

Q: Is there a fee to file Form R-10610?
A: No, there is no fee to file Form R-10610.

Q: Are there any penalties for late filing of Form R-10610?
A: Yes, there may be penalties for late filing of Form R-10610, so it is important to file it by the due date.

Q: Who can I contact for more information about Form R-10610?
A: For more information about Form R-10610, you can contact the Louisiana Department of Revenue or consult a tax professional.

ADVERTISEMENT

Form Details:

  • Released on January 1, 2019;
  • The latest edition provided by the Louisiana Department of Revenue;
  • Easy to use and ready to print;
  • Quick to customize;
  • Compatible with most PDF-viewing applications;
  • Fill out the form in our online filing application.

Download a fillable version of Form R-10610 by clicking the link below or browse more documents and templates provided by the Louisiana Department of Revenue.

Download Form R-10610 Schedule of Ad Valorem Tax Credit Claimed by Manufacturers, Distributors and Retailers for Ad Valorem Tax Paid on Inventory or Natural Gas - Louisiana

4.4 of 5 (41 votes)
  • Form R-10610 Schedule of Ad Valorem Tax Credit Claimed by Manufacturers, Distributors and Retailers for Ad Valorem Tax Paid on Inventory or Natural Gas - Louisiana

    1

  • Form R-10610 Schedule of Ad Valorem Tax Credit Claimed by Manufacturers, Distributors and Retailers for Ad Valorem Tax Paid on Inventory or Natural Gas - Louisiana, Page 2

    2

  • Form R-10610 Schedule of Ad Valorem Tax Credit Claimed by Manufacturers, Distributors and Retailers for Ad Valorem Tax Paid on Inventory or Natural Gas - Louisiana, Page 3

    3

  • Form R-10610 Schedule of Ad Valorem Tax Credit Claimed by Manufacturers, Distributors and Retailers for Ad Valorem Tax Paid on Inventory or Natural Gas - Louisiana, Page 4

    4

  • Form R-10610 Schedule of Ad Valorem Tax Credit Claimed by Manufacturers, Distributors and Retailers for Ad Valorem Tax Paid on Inventory or Natural Gas - Louisiana, Page 1
  • Form R-10610 Schedule of Ad Valorem Tax Credit Claimed by Manufacturers, Distributors and Retailers for Ad Valorem Tax Paid on Inventory or Natural Gas - Louisiana, Page 2
  • Form R-10610 Schedule of Ad Valorem Tax Credit Claimed by Manufacturers, Distributors and Retailers for Ad Valorem Tax Paid on Inventory or Natural Gas - Louisiana, Page 3
  • Form R-10610 Schedule of Ad Valorem Tax Credit Claimed by Manufacturers, Distributors and Retailers for Ad Valorem Tax Paid on Inventory or Natural Gas - Louisiana, Page 4
Prev 1 2 3 4 Next
ADVERTISEMENT