Form 2B Request for Business Entity Insurance License - Delaware

Form 2B Request for Business Entity Insurance License - Delaware

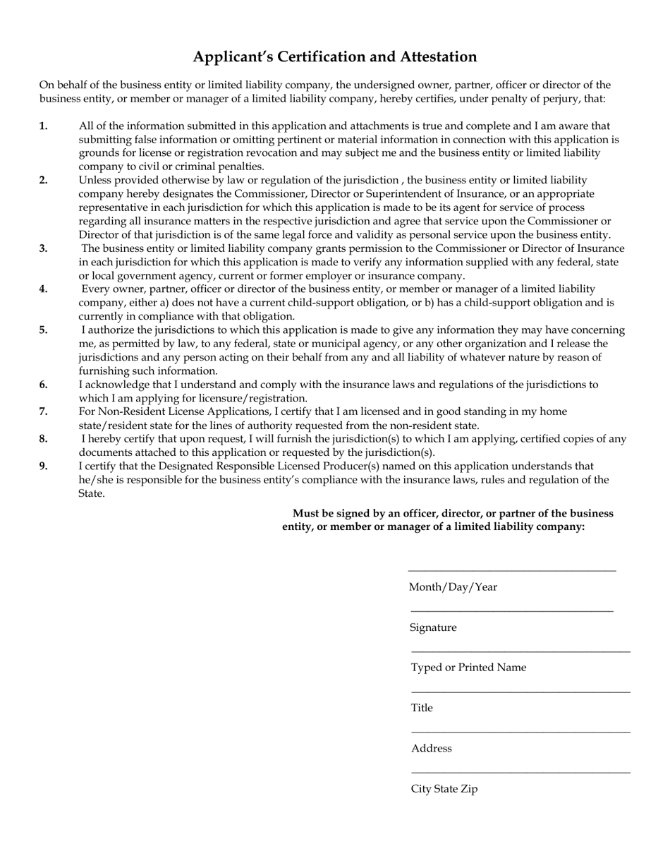
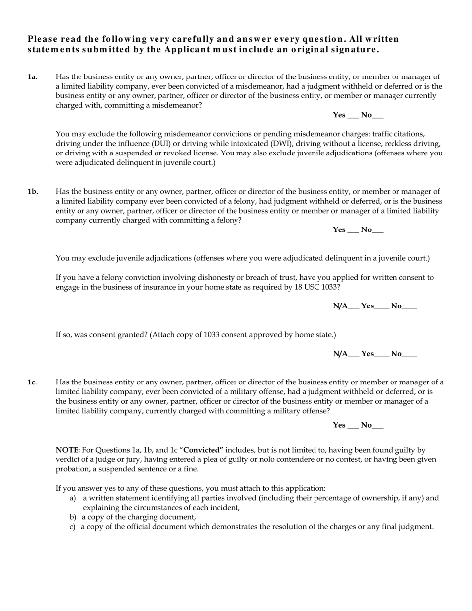
What Is Form 2B?

This is a legal form that was released by the Delaware Department of Insurance - a government authority operating within Delaware. As of today, no separate filing guidelines for the form are provided by the issuing department.

FAQ

Q: What is Form 2B?
A: Form 2B is a request form for obtaining a business entity insurance license in Delaware.

Q: Who needs to fill out Form 2B?
A: Any business entity seeking an insurance license in Delaware needs to fill out Form 2B.

Q: What is the purpose of Form 2B?
A: The purpose of Form 2B is to collect information about the business entity applying for an insurance license.

Q: What information is required on Form 2B?
A: Form 2B requires information such as the name and address of the business entity, type of insurance applied for, and details about officers and directors.

Q: Are there any fees associated with Form 2B?
A: Yes, there are fees associated with Form 2B. The amount depends on the type of insurance being applied for.

Q: How should I submit Form 2B?
A: Form 2B should be submitted by mail or in person to the Delaware Department of Insurance.

Q: Is Form 2B specific to Delaware?
A: Yes, Form 2B is specific to Delaware and is used for obtaining an insurance license in the state.

Q: Are there any deadlines for submitting Form 2B?
A: There are no specific deadlines mentioned for submitting Form 2B. It is recommended to submit it as soon as possible.

Q: Can I apply for an insurance license without Form 2B?
A: No, Form 2B is a required document for applying for an insurance license in Delaware.

ADVERTISEMENT

Form Details:

  • Released on July 1, 2017;
  • The latest edition provided by the Delaware Department of Insurance;
  • Easy to use and ready to print;
  • Quick to customize;
  • Compatible with most PDF-viewing applications;
  • Fill out the form in our online filing application.

Download a fillable version of Form 2B by clicking the link below or browse more documents and templates provided by the Delaware Department of Insurance.

Download Form 2B Request for Business Entity Insurance License - Delaware

4.7 of 5 (67 votes)
  • Form 2B Request for Business Entity Insurance License - Delaware

    1

  • Form 2B Request for Business Entity Insurance License - Delaware, Page 2

    2

  • Form 2B Request for Business Entity Insurance License - Delaware, Page 3

    3

  • Form 2B Request for Business Entity Insurance License - Delaware, Page 4

    4

  • Form 2B Request for Business Entity Insurance License - Delaware, Page 5

    5

  • Form 2B Request for Business Entity Insurance License - Delaware, Page 6

    6

  • Form 2B Request for Business Entity Insurance License - Delaware, Page 1
  • Form 2B Request for Business Entity Insurance License - Delaware, Page 2
  • Form 2B Request for Business Entity Insurance License - Delaware, Page 3
  • Form 2B Request for Business Entity Insurance License - Delaware, Page 4
  • Form 2B Request for Business Entity Insurance License - Delaware, Page 5
  • Form 2B Request for Business Entity Insurance License - Delaware, Page 6
Prev 1 2 3 4 5 6 Next
ADVERTISEMENT

Related Documents