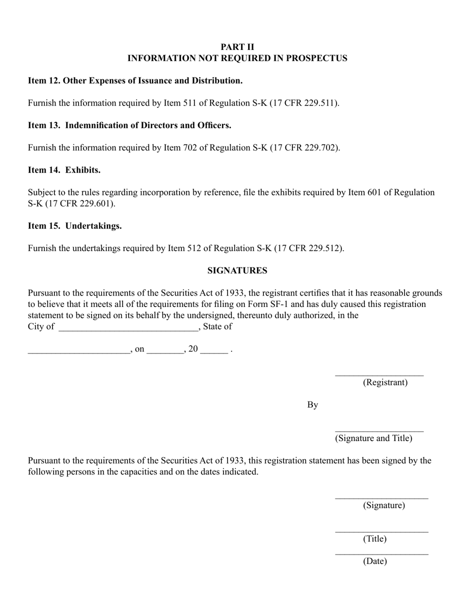
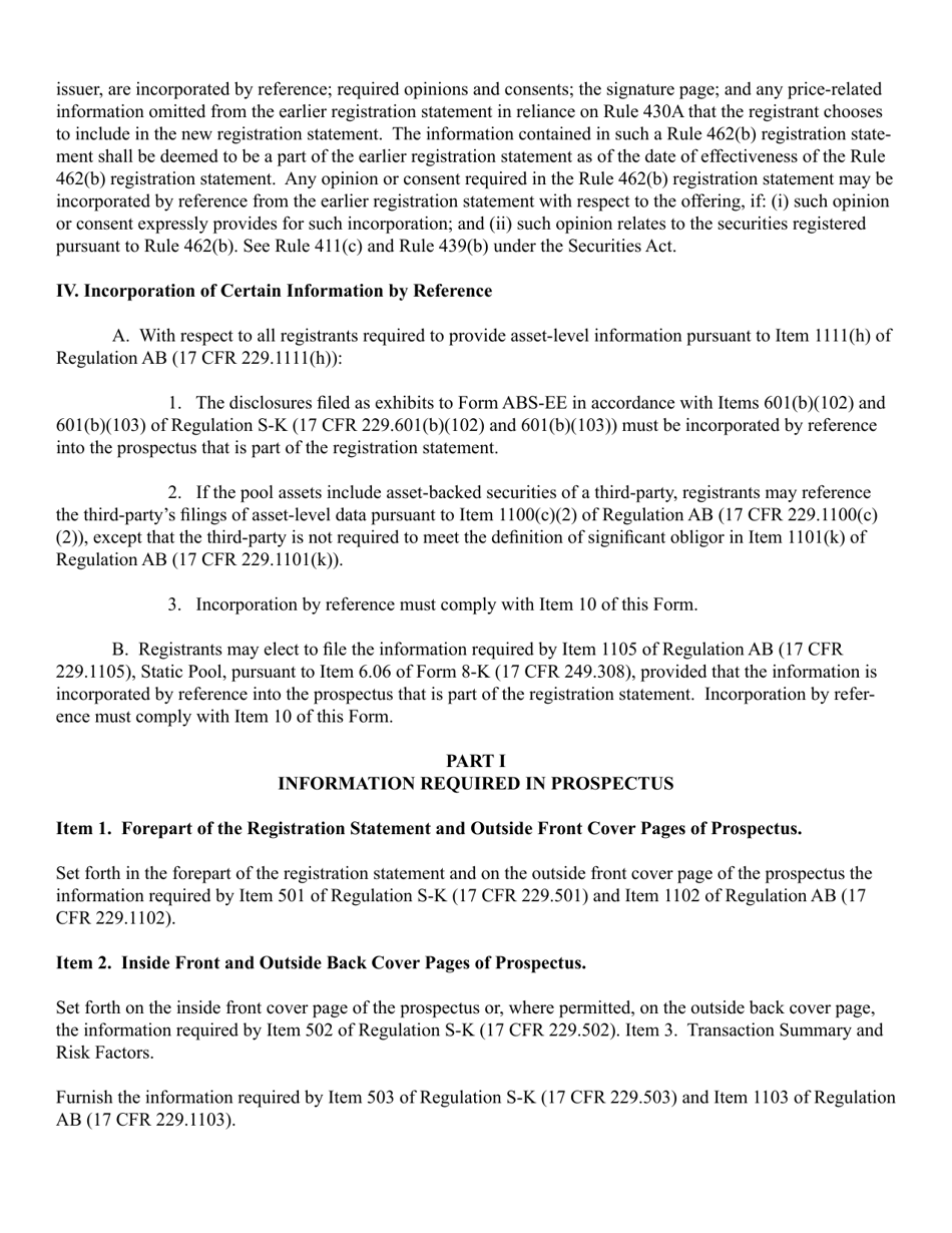
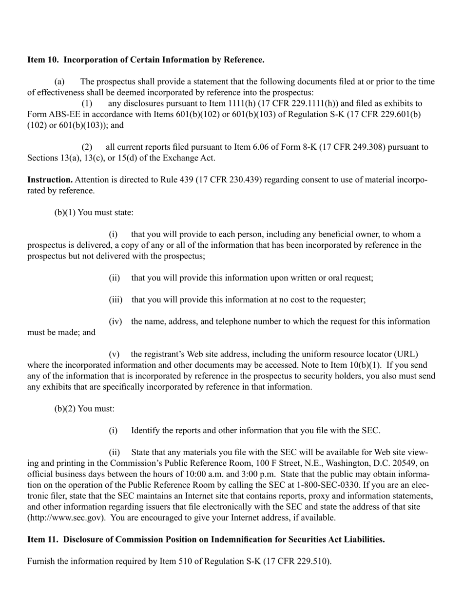
SEC Form 2908 (SF-1) Registration Statement Under the Securities Act of 1933

Notification Icon This version of the form is not currently in use and is provided for reference only. Download this version of SEC Form 2908 (SF-1) for the current year.

SEC Form 2908 (SF-1) Registration Statement Under the Securities Act of 1933

What Is SEC Form 2908 (SF-1)?

This is a legal form that was released by the U.S. Securities and Exchange Commission on September 1, 2017 and used country-wide. As of today, no separate filing guidelines for the form are provided by the issuing department.

FAQ

Q: What is SEC Form 2908?
A: SEC Form 2908 is a Registration Statement Under the Securities Act of 1933.

Q: What is the purpose of SEC Form 2908?
A: The purpose of SEC Form 2908 is to disclose important information about a security being offered for public sale.

Q: Who is required to file SEC Form 2908?
A: Companies or individuals offering securities to the public are required to file SEC Form 2908.

Q: What information is included in SEC Form 2908?
A: SEC Form 2908 includes information about the issuer, the offering, and other relevant details about the securities being offered.

Q: Is there a deadline for filing SEC Form 2908?
A: Yes, there is a deadline for filing SEC Form 2908, typically within a certain number of days prior to the intended offering date.

ADVERTISEMENT

Form Details:

  • Released on September 1, 2017;
  • The latest available edition released by the U.S. Securities and Exchange Commission;
  • Easy to use and ready to print;
  • Yours to fill out and keep for your records;
  • Compatible with most PDF-viewing applications;
  • Fill out the form in our online filing application.

Download a printable version of SEC Form 2908 (SF-1) by clicking the link below or browse more documents and templates provided by the U.S. Securities and Exchange Commission.

Download SEC Form 2908 (SF-1) Registration Statement Under the Securities Act of 1933

4.6 of 5 (76 votes)
  • SEC Form 2908 (SF-1) Registration Statement Under the Securities Act of 1933

    1

  • SEC Form 2908 (SF-1) Registration Statement Under the Securities Act of 1933, Page 2

    2

  • SEC Form 2908 (SF-1) Registration Statement Under the Securities Act of 1933, Page 3

    3

  • SEC Form 2908 (SF-1) Registration Statement Under the Securities Act of 1933, Page 4

    4

  • SEC Form 2908 (SF-1) Registration Statement Under the Securities Act of 1933, Page 5

    5

  • SEC Form 2908 (SF-1) Registration Statement Under the Securities Act of 1933, Page 6

    6

  • SEC Form 2908 (SF-1) Registration Statement Under the Securities Act of 1933, Page 7

    7

  • SEC Form 2908 (SF-1) Registration Statement Under the Securities Act of 1933, Page 1
  • SEC Form 2908 (SF-1) Registration Statement Under the Securities Act of 1933, Page 2
  • SEC Form 2908 (SF-1) Registration Statement Under the Securities Act of 1933, Page 3
  • SEC Form 2908 (SF-1) Registration Statement Under the Securities Act of 1933, Page 4
  • SEC Form 2908 (SF-1) Registration Statement Under the Securities Act of 1933, Page 5
  • SEC Form 2908 (SF-1) Registration Statement Under the Securities Act of 1933, Page 6
  • SEC Form 2908 (SF-1) Registration Statement Under the Securities Act of 1933, Page 7
Prev 1 2 3 4 5 ... 7 Next
ADVERTISEMENT

Related Documents