Recordkeeping Procedure for Non-over-the-Counter Firearm Sales by Licensees to Unlicensed in-State Residents That Are Nics Exempt

Recordkeeping Procedure for Non-over-the-Counter Firearm Sales by Licensees to Unlicensed in-State Residents That Are Nics Exempt

Recordkeeping Procedure for Non-over-the-Counter Firearm Sales by Licensees to Unlicensed in-State Residents That Are Nics Exempt is a 4-page legal document that was released by the U.S. Department of Justice - Bureau of Alcohol, Tobacco, Firearms and Explosives on August 15, 2013 and used nation-wide.

FAQ

Q: What is the recordkeeping procedure for non-over-the-counter firearm sales?
A: Licensees must keep records of all firearm sales, including those to unlicensed in-state residents that are NICS exempt.

Q: Who is required to keep these records?
A: Licensees, or those with a Federal Firearms License (FFL), are required to keep these records.

Q: Who are considered unlicensed in-state residents?
A: Unlicensed residents within the same state as the licensee are considered unlicensed in-state residents.

Q: What is NICS exempt?
A: NICS exempt refers to individuals who are exempted from undergoing a background check through the National Instant Criminal Background Check System (NICS).

Q: What information should be included in the records of firearm sales?
A: The records should include the name, address, and date of birth of the buyer, as well as a description of the firearm.

Q: How long should these records be kept?
A: Records of firearm sales must be retained by licensees for a period of at least 20 years.

Q: Are there any exceptions to this recordkeeping requirement?
A: Yes, if the licensee has previously transferred the firearm to an unlicensed individual and subsequently takes possession of the firearm again.

ADVERTISEMENT

Form Details:

  • The latest edition currently provided by the U.S. Department of Justice - Bureau of Alcohol, Tobacco, Firearms and Explosives;
  • Ready to use and print;
  • Easy to customize;
  • Compatible with most PDF-viewing applications;
  • Fill out the form in our online filing application.

Download a printable version of the form by clicking the link below or browse more legal forms and templates provided by the issuing department.

Download Recordkeeping Procedure for Non-over-the-Counter Firearm Sales by Licensees to Unlicensed in-State Residents That Are Nics Exempt

4.6 of 5 (9 votes)
  • Recordkeeping Procedure for Non-over-the-Counter Firearm Sales by Licensees to Unlicensed in-State Residents That Are Nics Exempt

    1

  • Recordkeeping Procedure for Non-over-the-Counter Firearm Sales by Licensees to Unlicensed in-State Residents That Are Nics Exempt, Page 2

    2

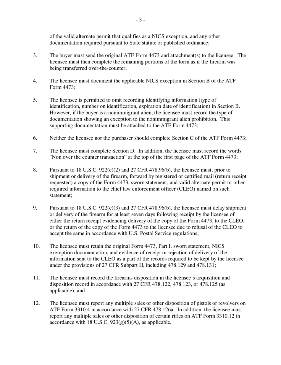
  • Recordkeeping Procedure for Non-over-the-Counter Firearm Sales by Licensees to Unlicensed in-State Residents That Are Nics Exempt, Page 3

    3

  • Recordkeeping Procedure for Non-over-the-Counter Firearm Sales by Licensees to Unlicensed in-State Residents That Are Nics Exempt, Page 4

    4

  • Recordkeeping Procedure for Non-over-the-Counter Firearm Sales by Licensees to Unlicensed in-State Residents That Are Nics Exempt, Page 1
  • Recordkeeping Procedure for Non-over-the-Counter Firearm Sales by Licensees to Unlicensed in-State Residents That Are Nics Exempt, Page 2
  • Recordkeeping Procedure for Non-over-the-Counter Firearm Sales by Licensees to Unlicensed in-State Residents That Are Nics Exempt, Page 3
  • Recordkeeping Procedure for Non-over-the-Counter Firearm Sales by Licensees to Unlicensed in-State Residents That Are Nics Exempt, Page 4
Prev 1 2 3 4 Next
ADVERTISEMENT