DSHS Form 11-046 Work Experience (Wex) Agreement (Food Stamp Employment and Training) - Washington

DSHS Form 11-046 Work Experience (Wex) Agreement (Food Stamp Employment and Training) - Washington

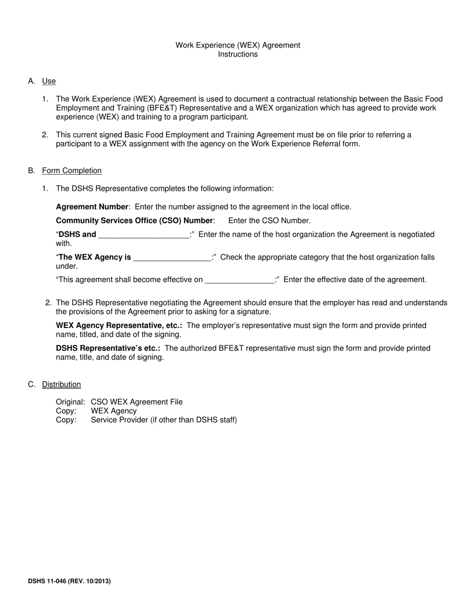
What Is DSHS Form 11-046?

This is a legal form that was released by the Washington State Department of Social and Health Services - a government authority operating within Washington. As of today, no separate filing guidelines for the form are provided by the issuing department.

FAQ

Q: What is DSHS Form 11-046?
A: DSHS Form 11-046 is a Work Experience (Wex) Agreement specifically for Food Stamp Employment and Training.

Q: What is the purpose of DSHS Form 11-046?
A: The purpose of DSHS Form 11-046 is to document the agreement between the individual receiving food stamps and the employment or training program they are participating in.

Q: Who needs to fill out DSHS Form 11-046?
A: Individuals who are receiving food stamps and participating in an employment or training program need to fill out DSHS Form 11-046.

Q: What does DSHS Form 11-046 include?
A: DSHS Form 11-046 includes information about the individual's work experience agreement, contact information, and signature of both the individual and the program representative.

Q: Is DSHS Form 11-046 specific to Washington state?
A: Yes, DSHS Form 11-046 is specifically for individuals in Washington state participating in the Food Stamp Employment and Training program.

Q: Is DSHS Form 11-046 mandatory?
A: If you are participating in the Food Stamp Employment and Training program in Washington state, filling out DSHS Form 11-046 is mandatory.

ADVERTISEMENT

Form Details:

  • Released on October 1, 2013;
  • The latest edition provided by the Washington State Department of Social and Health Services;
  • Easy to use and ready to print;
  • Quick to customize;
  • Compatible with most PDF-viewing applications;
  • Fill out the form in our online filing application.

Download a printable version of DSHS Form 11-046 by clicking the link below or browse more documents and templates provided by the Washington State Department of Social and Health Services.

Download DSHS Form 11-046 Work Experience (Wex) Agreement (Food Stamp Employment and Training) - Washington

4.5 of 5 (8 votes)
  • DSHS Form 11-046 Work Experience (Wex) Agreement (Food Stamp Employment and Training) - Washington

    1

  • DSHS Form 11-046 Work Experience (Wex) Agreement (Food Stamp Employment and Training) - Washington, Page 2

    2

  • DSHS Form 11-046 Work Experience (Wex) Agreement (Food Stamp Employment and Training) - Washington, Page 1
  • DSHS Form 11-046 Work Experience (Wex) Agreement (Food Stamp Employment and Training) - Washington, Page 2
Prev 1 2 Next
ADVERTISEMENT

Related Documents