Application for Bonfire Permit on State-Owned Property - Virginia

Application for Bonfire Permit on State-Owned Property - Virginia

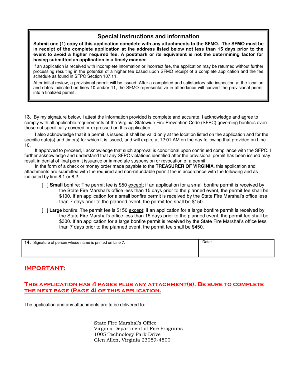
Application for Bonfire Permit on State-Owned Property is a legal document that was released by the Virginia Department of Fire Programs - a government authority operating within Virginia.

FAQ

Q: Who can apply for a bonfire permit on state-owned property in Virginia?
A: Any individual or organization can apply for a bonfire permit.

Q: What is the process for applying for a bonfire permit?
A: The process involves submitting an application to the appropriate state agency and obtaining the necessary approvals.

Q: Can bonfires be held on state-owned property without a permit?
A: No, a permit is required for holding bonfires on state-owned property.

Q: Are there any specific requirements or restrictions for bonfires on state-owned property?
A: Yes, there are certain requirements and restrictions that must be followed, such as size limitations and safety precautions.

Q: How long does it take to obtain a bonfire permit on state-owned property in Virginia?
A: The processing time for a bonfire permit varies and depends on the specific circumstances and agency requirements.

Q: Is there a fee for obtaining a bonfire permit on state-owned property?
A: There may be a fee associated with obtaining a bonfire permit, which is determined by the relevant state agency.

ADVERTISEMENT

Form Details:

  • Released on April 1, 2015;
  • The latest edition currently provided by the Virginia Department of Fire Programs;
  • Ready to use and print;
  • Easy to customize;
  • Compatible with most PDF-viewing applications;
  • Fill out the form in our online filing application.

Download a printable version of the form by clicking the link below or browse more documents and templates provided by the Virginia Department of Fire Programs.

Download Application for Bonfire Permit on State-Owned Property - Virginia

4.5 of 5 (10 votes)
  • Application for Bonfire Permit on State-Owned Property - Virginia

    1

  • Application for Bonfire Permit on State-Owned Property - Virginia, Page 2

    2

  • Application for Bonfire Permit on State-Owned Property - Virginia, Page 3

    3

  • Application for Bonfire Permit on State-Owned Property - Virginia, Page 4

    4

  • Application for Bonfire Permit on State-Owned Property - Virginia, Page 1
  • Application for Bonfire Permit on State-Owned Property - Virginia, Page 2
  • Application for Bonfire Permit on State-Owned Property - Virginia, Page 3
  • Application for Bonfire Permit on State-Owned Property - Virginia, Page 4
Prev 1 2 3 4 Next
ADVERTISEMENT

Related Documents