Form DWC097 Sif Reimbursement Request Form - Multiple Employment - Texas

Notification Icon This version of the form is not currently in use and is provided for reference only. Download this version of Form DWC097 for the current year.

Form DWC097 Sif Reimbursement Request Form - Multiple Employment - Texas

What Is Form DWC097?

This is a legal form that was released by the Texas Department of Insurance - a government authority operating within Texas. As of today, no separate filing guidelines for the form are provided by the issuing department.

FAQ

Q: What is Form DWC097?
A: Form DWC097 is the SIF Reimbursement Request Form for Multiple Employment in Texas.

Q: What is the purpose of Form DWC097?
A: The purpose of Form DWC097 is to request reimbursement for expenses related to multiple employments in Texas.

Q: Who can use Form DWC097?
A: Form DWC097 can be used by individuals who have multiple employments in Texas and are seeking reimbursement for related expenses.

Q: What expenses can be claimed on Form DWC097?
A: Expenses related to multiple employments, such as mileage, lodging, and meals, can be claimed on Form DWC097.

Q: Is Form DWC097 specific to Texas?
A: Yes, Form DWC097 is specific to Texas and is used for reimbursement requests related to multiple employments in the state.

Q: Are there any eligibility criteria to use Form DWC097?
A: Yes, individuals must meet certain eligibility criteria, such as having multiple employments in Texas and meeting the requirements set by the Texas Department of Insurance - Division of Workers' Compensation.

Q: How do I submit Form DWC097?
A: Form DWC097 should be completed and submitted according to the instructions provided on the form or through the designated submission process outlined by the Texas Department of Insurance - Division of Workers' Compensation.

Q: Is there a deadline for submitting Form DWC097?
A: Yes, there may be a deadline for submitting Form DWC097. It is important to follow the instructions and guidelines provided by the Texas Department of Insurance - Division of Workers' Compensation.

Q: Who should I contact for assistance with Form DWC097?
A: For assistance with Form DWC097, you can contact the Texas Department of Insurance - Division of Workers' Compensation for guidance and support.

ADVERTISEMENT

Form Details:

  • Released on November 1, 2018;
  • The latest edition provided by the Texas Department of Insurance;
  • Easy to use and ready to print;
  • Quick to customize;
  • Compatible with most PDF-viewing applications;
  • Fill out the form in our online filing application.

Download a fillable version of Form DWC097 by clicking the link below or browse more documents and templates provided by the Texas Department of Insurance.

Download Form DWC097 Sif Reimbursement Request Form - Multiple Employment - Texas

4.6 of 5 (76 votes)
  • Form DWC097 Sif Reimbursement Request Form - Multiple Employment - Texas

    1

  • Form DWC097 Sif Reimbursement Request Form - Multiple Employment - Texas, Page 2

    2

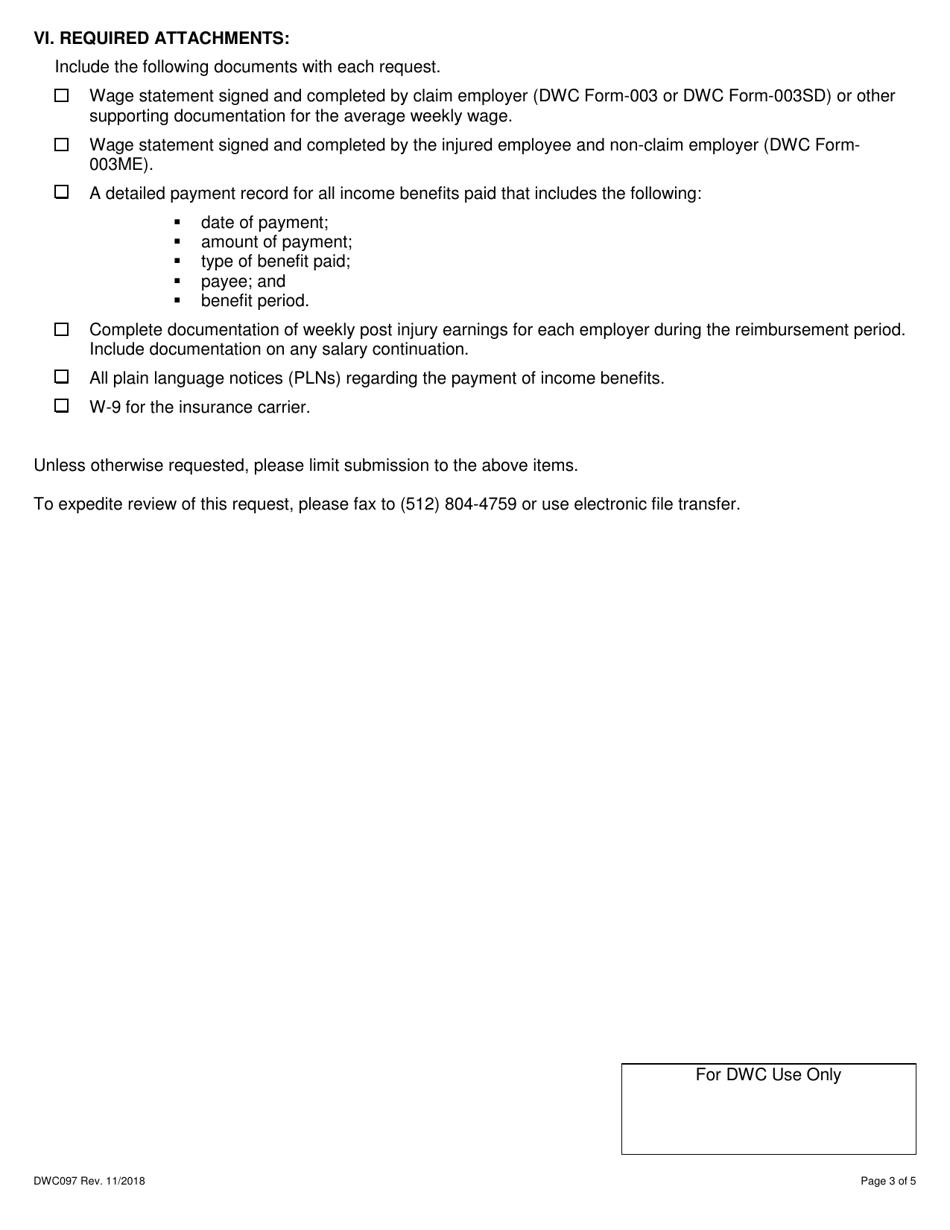
  • Form DWC097 Sif Reimbursement Request Form - Multiple Employment - Texas, Page 3

    3

  • Form DWC097 Sif Reimbursement Request Form - Multiple Employment - Texas, Page 4

    4

  • Form DWC097 Sif Reimbursement Request Form - Multiple Employment - Texas, Page 5

    5

  • Form DWC097 Sif Reimbursement Request Form - Multiple Employment - Texas, Page 1
  • Form DWC097 Sif Reimbursement Request Form - Multiple Employment - Texas, Page 2
  • Form DWC097 Sif Reimbursement Request Form - Multiple Employment - Texas, Page 3
  • Form DWC097 Sif Reimbursement Request Form - Multiple Employment - Texas, Page 4
  • Form DWC097 Sif Reimbursement Request Form - Multiple Employment - Texas, Page 5
Prev 1 2 3 4 5 Next
ADVERTISEMENT