Form OCRP-54 Membership Camping Operator's Bond - Virginia

Notification Icon This version of the form is not currently in use and is provided for reference only. Download this version of Form OCRP-54 for the current year.

Form OCRP-54 Membership Camping Operator's Bond - Virginia

What Is Form OCRP-54?

This is a legal form that was released by the Virginia Department of Agriculture and Consumer Services - a government authority operating within Virginia. As of today, no separate filing guidelines for the form are provided by the issuing department.

FAQ

Q: What is Form OCRP-54?
A: Form OCRP-54 is the Membership Camping Operator's Bond specific to Virginia.

Q: What is a Membership Camping Operator's Bond?
A: A Membership Camping Operator's Bond is a type of surety bond required for businesses operating membership camping sites in Virginia.

Q: Why is the Membership Camping Operator's Bond required?
A: The bond is required to ensure that the camping operator complies with all relevant laws and regulations and protects the rights and financial interests of the campers.

Q: Who needs to file the Membership Camping Operator's Bond?
A: Businesses that operate membership camping sites in Virginia need to file the bond.

Q: What is the purpose of the Membership Camping Operator's Bond?
A: The bond serves as a guarantee that the camping operator will fulfill their obligations to campers, including providing the promised camping services and amenities.

Q: How much is the bond amount for the Membership Camping Operator's Bond?
A: The bond amount is determined by the Virginia Department of Agriculture and Consumer Services and may vary depending on the number of campers.

Q: How long is the Membership Camping Operator's Bond valid?
A: The bond is typically valid for one year and needs to be renewed annually.

Q: Are there any other requirements for membership camping operators in Virginia?
A: Yes, in addition to the bond, operators may also need to obtain a license from the Virginia Department of Agriculture and Consumer Services.

Q: What happens if a camping operator fails to comply with the bond requirements?
A: If a camping operator fails to comply with the bond requirements, campers may be eligible for reimbursement from the bond. The operator may also face legal consequences and potential penalties.

ADVERTISEMENT

Form Details:

  • Released on April 1, 2019;
  • The latest edition provided by the Virginia Department of Agriculture and Consumer Services;
  • Easy to use and ready to print;
  • Quick to customize;
  • Compatible with most PDF-viewing applications;
  • Fill out the form in our online filing application.

Download a fillable version of Form OCRP-54 by clicking the link below or browse more documents and templates provided by the Virginia Department of Agriculture and Consumer Services.

Download Form OCRP-54 Membership Camping Operator's Bond - Virginia

4.3 of 5 (38 votes)
  • Form OCRP-54 Membership Camping Operator's Bond - Virginia

    1

  • Form OCRP-54 Membership Camping Operator's Bond - Virginia, Page 2

    2

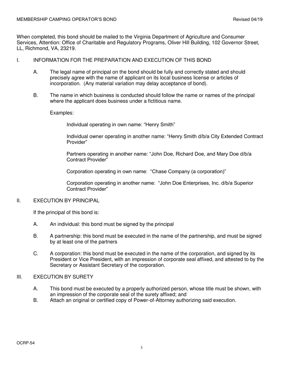
  • Form OCRP-54 Membership Camping Operator's Bond - Virginia, Page 3

    3

  • Form OCRP-54 Membership Camping Operators Bond - Virginia, Page 1
  • Form OCRP-54 Membership Camping Operators Bond - Virginia, Page 2
  • Form OCRP-54 Membership Camping Operators Bond - Virginia, Page 3
Prev 1 2 3 Next
ADVERTISEMENT