Form F245-435-000 Ime Examiner Renewal Application - Washington

Notification Icon This version of the form is not currently in use and is provided for reference only. Download this version of Form F245-435-000 for the current year.

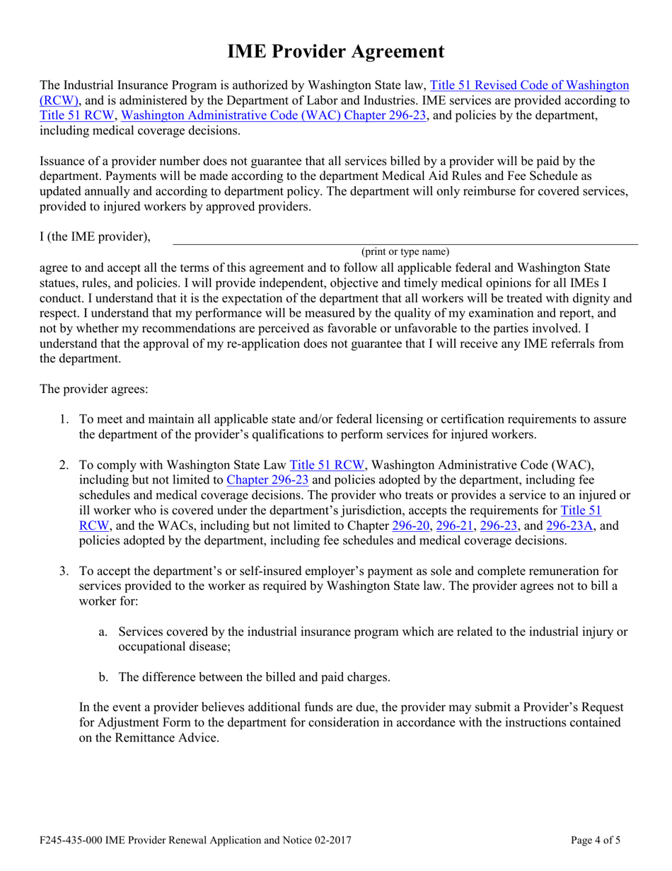
Form F245-435-000 Ime Examiner Renewal Application - Washington

What Is Form F245-435-000?

This is a legal form that was released by the Washington State Department of Labor and Industries - a government authority operating within Washington. As of today, no separate filing guidelines for the form are provided by the issuing department.

FAQ

Q: What is Form F245-435-000?
A: Form F245-435-000 is the Ime Examiner Renewal Application in Washington.

Q: Who needs to fill out Form F245-435-000?
A: IME examiners in Washington who need to renew their certification need to fill out this form.

Q: What is an IME examiner?
A: An IME (Independent Medical Examiner) examiner is a licensed healthcare professional who performs medical assessments and evaluations of patients for insurance and legal purposes.

Q: How often do IME examiners need to renew their certification?
A: IME examiners in Washington need to renew their certification every two years.

Q: What information is required on Form F245-435-000?
A: The form typically requires personal information, contact information, license information, and any additional documentation required for renewal.

ADVERTISEMENT

Form Details:

  • Released on February 1, 2017;
  • The latest edition provided by the Washington State Department of Labor and Industries;
  • Easy to use and ready to print;
  • Quick to customize;
  • Compatible with most PDF-viewing applications;
  • Fill out the form in our online filing application.

Download a fillable version of Form F245-435-000 by clicking the link below or browse more documents and templates provided by the Washington State Department of Labor and Industries.

Download Form F245-435-000 Ime Examiner Renewal Application - Washington

4.5 of 5 (37 votes)
  • Form F245-435-000 Ime Examiner Renewal Application - Washington

    1

  • Form F245-435-000 Ime Examiner Renewal Application - Washington, Page 2

    2

  • Form F245-435-000 Ime Examiner Renewal Application - Washington, Page 3

    3

  • Form F245-435-000 Ime Examiner Renewal Application - Washington, Page 4

    4

  • Form F245-435-000 Ime Examiner Renewal Application - Washington, Page 5

    5

  • Form F245-435-000 Ime Examiner Renewal Application - Washington, Page 1
  • Form F245-435-000 Ime Examiner Renewal Application - Washington, Page 2
  • Form F245-435-000 Ime Examiner Renewal Application - Washington, Page 3
  • Form F245-435-000 Ime Examiner Renewal Application - Washington, Page 4
  • Form F245-435-000 Ime Examiner Renewal Application - Washington, Page 5
Prev 1 2 3 4 5 Next
ADVERTISEMENT

Related Documents