DSHS Form 18-399 Ssps Client / Provider Overpayment Computation Sheet - Washington

DSHS Form 18-399 Ssps Client / Provider Overpayment Computation Sheet - Washington

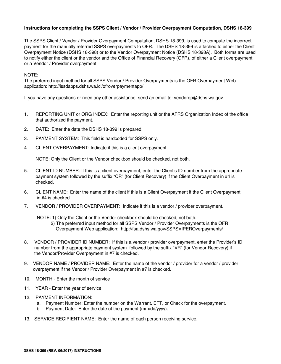
What Is DSHS Form 18-399?

This is a legal form that was released by the Washington State Department of Social and Health Services - a government authority operating within Washington. As of today, no separate filing guidelines for the form are provided by the issuing department.

FAQ

Q: What is DSHS Form 18-399?
A: DSHS Form 18-399 is the Ssps Client/Provider Overpayment Computation Sheet.

Q: What is the purpose of DSHS Form 18-399?
A: The purpose of DSHS Form 18-399 is to calculate overpayments made to clients/providers in the state of Washington.

Q: Who uses DSHS Form 18-399?
A: DSHS Form 18-399 is used by the Washington Department of Social and Health Services (DSHS).

Q: What does Ssps stand for in DSHS Form 18-399?
A: Ssps stands for State Supplementary Payment System.

Q: What information is included in DSHS Form 18-399?
A: DSHS Form 18-399 includes client/provider details, overpayment calculation, and repayment information.

ADVERTISEMENT

Form Details:

  • Released on June 1, 2017;
  • The latest edition provided by the Washington State Department of Social and Health Services;
  • Easy to use and ready to print;
  • Available in Somali;
  • Quick to customize;
  • Compatible with most PDF-viewing applications;
  • Fill out the form in our online filing application.

Download a printable version of DSHS Form 18-399 by clicking the link below or browse more documents and templates provided by the Washington State Department of Social and Health Services.

Download DSHS Form 18-399 Ssps Client / Provider Overpayment Computation Sheet - Washington

4.4 of 5 (36 votes)
  • DSHS Form 18-399 Ssps Client/Provider Overpayment Computation Sheet - Washington

    1

  • DSHS Form 18-399 Ssps Client/Provider Overpayment Computation Sheet - Washington, Page 2

    2

  • DSHS Form 18-399 Ssps Client/Provider Overpayment Computation Sheet - Washington, Page 3

    3

  • DSHS Form 18-399 Ssps Client / Provider Overpayment Computation Sheet - Washington, Page 1
  • DSHS Form 18-399 Ssps Client / Provider Overpayment Computation Sheet - Washington, Page 2
  • DSHS Form 18-399 Ssps Client / Provider Overpayment Computation Sheet - Washington, Page 3
Prev 1 2 3 Next
ADVERTISEMENT

Related Documents