Form DSCB:54-1314 / 1515 Decennial Report - Insignia or Mark Used With Articles or Supplies - Pennsylvania

Form DSCB:54-1314 / 1515 Decennial Report - Insignia or Mark Used With Articles or Supplies - Pennsylvania

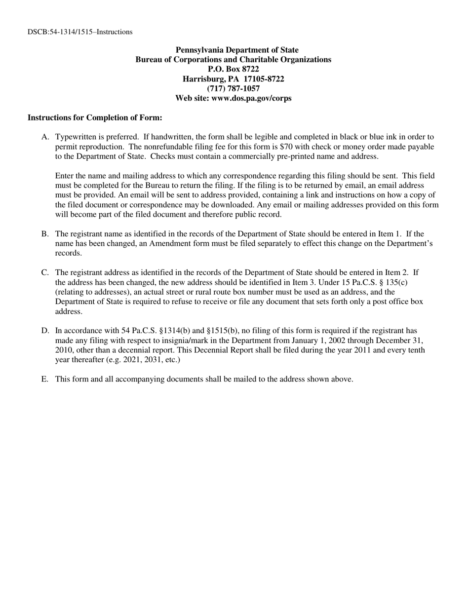
What Is Form DSCB:54-1314/1515?

This is a legal form that was released by the Pennsylvania Department of State - a government authority operating within Pennsylvania. As of today, no separate filing guidelines for the form are provided by the issuing department.

FAQ

Q: What is a Decennial Report?
A: A Decennial Report is a report that certain businesses must file every ten years in Pennsylvania.

Q: What is Form DSCB:54-1314/1515?
A: Form DSCB:54-1314/1515 is the specific form for filing the Decennial Report for insignias or marks used with articles or supplies in Pennsylvania.

Q: Who needs to file the Decennial Report?
A: Businesses that use insignias or marks with articles or supplies in Pennsylvania need to file the Decennial Report.

Q: What is an insignia or mark?
A: An insignia or mark is a distinctive design, symbol, or logo that is used to represent a business or its products.

Q: How often is the Decennial Report filed?
A: The Decennial Report is filed every ten years in Pennsylvania.

Q: What is the purpose of the Decennial Report?
A: The purpose is to update and maintain accurate records of businesses using insignias or marks with articles or supplies in Pennsylvania.

ADVERTISEMENT

Form Details:

  • Released on July 1, 2015;
  • The latest edition provided by the Pennsylvania Department of State;
  • Easy to use and ready to print;
  • Quick to customize;
  • Compatible with most PDF-viewing applications;
  • Fill out the form in our online filing application.

Download a fillable version of Form DSCB:54-1314/1515 by clicking the link below or browse more documents and templates provided by the Pennsylvania Department of State.

Download Form DSCB:54-1314 / 1515 Decennial Report - Insignia or Mark Used With Articles or Supplies - Pennsylvania

4.8 of 5 (43 votes)
  • Form DSCB:54-1314/1515 Decennial Report - Insignia or Mark Used With Articles or Supplies - Pennsylvania

    1

  • Form DSCB:54-1314/1515 Decennial Report - Insignia or Mark Used With Articles or Supplies - Pennsylvania, Page 2

    2

  • Form DSCB:54-1314 / 1515 Decennial Report - Insignia or Mark Used With Articles or Supplies - Pennsylvania, Page 1
  • Form DSCB:54-1314 / 1515 Decennial Report - Insignia or Mark Used With Articles or Supplies - Pennsylvania, Page 2
Prev 1 2 Next
ADVERTISEMENT