Form FL All Family173 Motion for Temporary Change to Parenting / Custody Order (Military Parent) - Washington

Notification Icon This version of the form is not currently in use and is provided for reference only. Download this version of Form FL All Family173 for the current year.

Form FL All Family173 Motion for Temporary Change to Parenting / Custody Order (Military Parent) - Washington

What Is Form FL All Family173?

This is a legal form that was released by the Washington Superior Court - a government authority operating within Washington. As of today, no separate filing guidelines for the form are provided by the issuing department.

FAQ

Q: What is Form FL All Family173?
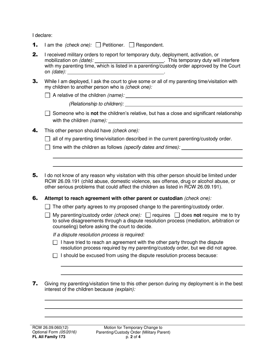
A: Form FL All Family173 is a motion for temporary change to parenting/custody order specifically for military parents in Washington.

Q: Who can use Form FL All Family173?
A: Form FL All Family173 is specifically designed for military parents in Washington who need to request a temporary change to their parenting or custody order.

Q: What is the purpose of Form FL All Family173?
A: The purpose of Form FL All Family173 is to allow military parents in Washington to request a temporary change to their parenting or custody order due to their military service.

Q: Why would a military parent need to use Form FL All Family173?
A: A military parent may need to use Form FL All Family173 if their military service requires them to be away from home and they need to temporarily modify their parenting or custody arrangement.

Q: Is there a fee for filing Form FL All Family173?
A: The filing fee for Form FL All Family173 may vary depending on the county in Washington. It is best to check with the local courthouse for the exact fee.

Q: What should I do after completing Form FL All Family173?
A: After completing Form FL All Family173, you should file it with the local courthouse in Washington and serve a copy to the other party involved in the parenting or custody case.

Q: Is legal representation required to use Form FL All Family173?
A: Legal representation is not required to use Form FL All Family173, but it is recommended to consult with an attorney who specializes in family law to understand the implications and process.

Q: Can I use Form FL All Family173 in other states?
A: Form FL All Family173 is specific to Washington and may not be applicable in other states. It is important to check with the local court or an attorney in the relevant state.

Q: Can Form FL All Family173 guarantee a change to the parenting or custody order?
A: Form FL All Family173 is the formal request to initiate the process, but the final decision on the modification of the parenting or custody order is up to the court's discretion.

ADVERTISEMENT

Form Details:

  • Released on May 1, 2016;
  • The latest edition provided by the Washington Superior Court;
  • Easy to use and ready to print;
  • Quick to customize;
  • Compatible with most PDF-viewing applications;
  • Fill out the form in our online filing application.

Download a printable version of Form FL All Family173 by clicking the link below or browse more documents and templates provided by the Washington Superior Court.

Download Form FL All Family173 Motion for Temporary Change to Parenting / Custody Order (Military Parent) - Washington

4.6 of 5 (75 votes)
  • Form FL All Family173 Motion for Temporary Change to Parenting/Custody Order (Military Parent) - Washington

    1

  • Form FL All Family173 Motion for Temporary Change to Parenting/Custody Order (Military Parent) - Washington, Page 2

    2

  • Form FL All Family173 Motion for Temporary Change to Parenting/Custody Order (Military Parent) - Washington, Page 3

    3

  • Form FL All Family173 Motion for Temporary Change to Parenting/Custody Order (Military Parent) - Washington, Page 4

    4

  • Form FL All Family173 Motion for Temporary Change to Parenting / Custody Order (Military Parent) - Washington, Page 1
  • Form FL All Family173 Motion for Temporary Change to Parenting / Custody Order (Military Parent) - Washington, Page 2
  • Form FL All Family173 Motion for Temporary Change to Parenting / Custody Order (Military Parent) - Washington, Page 3
  • Form FL All Family173 Motion for Temporary Change to Parenting / Custody Order (Military Parent) - Washington, Page 4
Prev 1 2 3 4 Next
ADVERTISEMENT

Related Documents