Form CSC-190SAM Student Enrollment Agreement Sample - Texas

Form CSC-190SAM Student Enrollment Agreement Sample - Texas

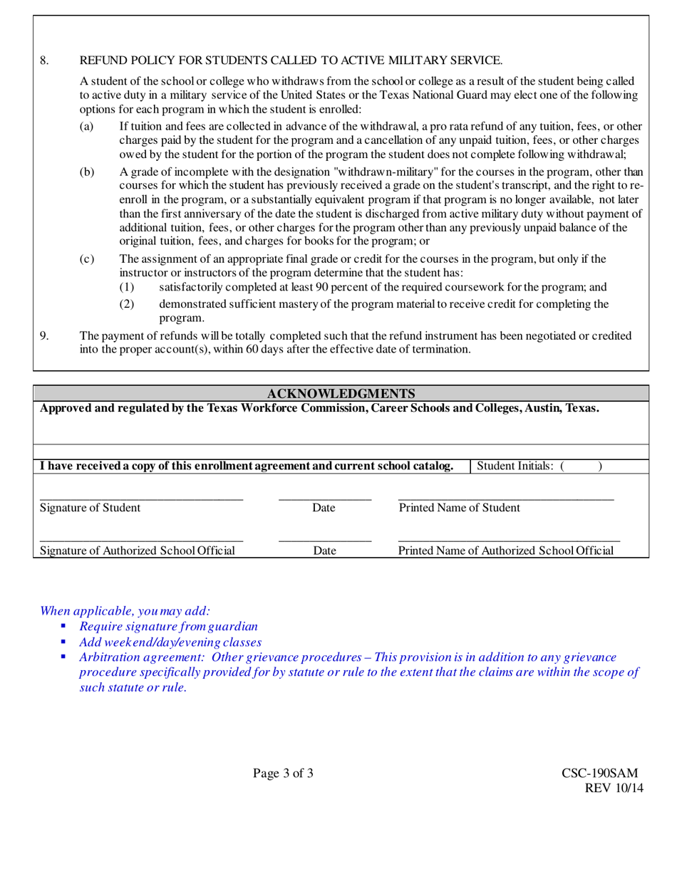
What Is Form CSC-190SAM?

This is a legal form that was released by the Texas Workforce Commission - a government authority operating within Texas. As of today, no separate filing guidelines for the form are provided by the issuing department.

Form Details:

  • Released on October 1, 2014;
  • The latest edition provided by the Texas Workforce Commission;
  • Easy to use and ready to print;
  • Quick to customize;
  • Compatible with most PDF-viewing applications;
  • Fill out the form in our online filing application.

Download a fillable version of Form CSC-190SAM by clicking the link below or browse more documents and templates provided by the Texas Workforce Commission.

ADVERTISEMENT

Download Form CSC-190SAM Student Enrollment Agreement Sample - Texas

4.5 of 5 (50 votes)
  • Form CSC-190SAM Student Enrollment Agreement Sample - Texas

    1

  • Form CSC-190SAM Student Enrollment Agreement Sample - Texas, Page 2

    2

  • Form CSC-190SAM Student Enrollment Agreement Sample - Texas, Page 3

    3

  • Form CSC-190SAM Student Enrollment Agreement Sample - Texas, Page 1
  • Form CSC-190SAM Student Enrollment Agreement Sample - Texas, Page 2
  • Form CSC-190SAM Student Enrollment Agreement Sample - Texas, Page 3
Prev 1 2 3 Next
ADVERTISEMENT