Confined Animal Feeding Operations Inspection Checklist - Virginia

Confined Animal Feeding Operations Inspection Checklist - Virginia

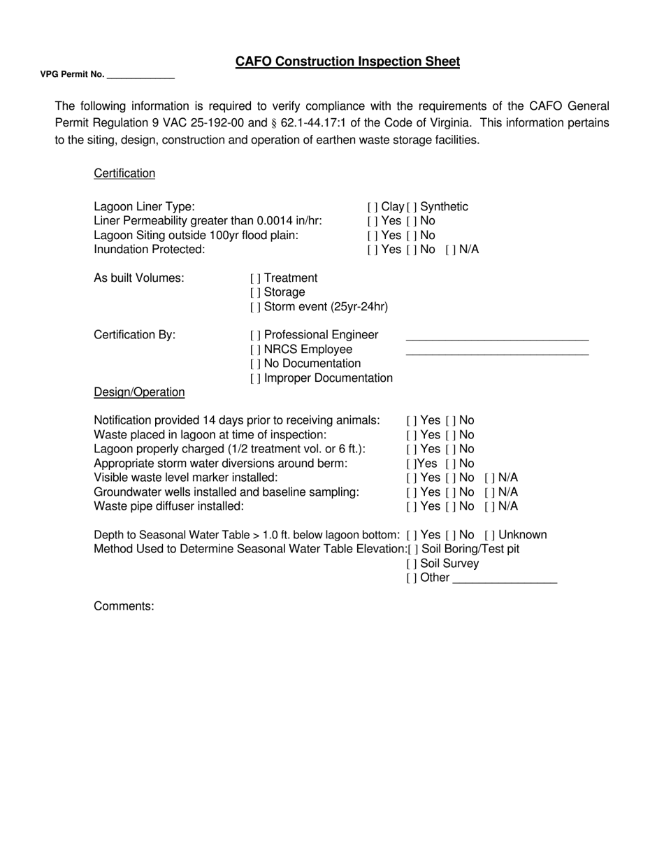
Confined Animal Feeding Operations Inspection Checklist is a legal document that was released by the Virginia Department of Environmental Quality - a government authority operating within Virginia.

FAQ

Q: What is a Confined Animal Feeding Operation (CAFO)?
A: A CAFO is an agricultural facility where animals are kept in confined conditions, and the nutrients, manure, or wastewater are stored and managed.

Q: Why are CAFO inspections important?
A: CAFO inspections ensure that these operations comply with regulations to protect water quality and public health.

Q: Who conducts CAFO inspections in Virginia?
A: CAFO inspections in Virginia are conducted by various government agencies, such as the Department of Environmental Quality and the Department of Conservation and Recreation.

Q: What does the CAFO inspection checklist in Virginia cover?
A: The CAFO inspection checklist in Virginia includes various components related to the management practices, structures, and environmental impacts of the facility.

Q: What are some examples of items on the CAFO inspection checklist?
A: Examples of items on the CAFO inspection checklist include manure storage and management, nutrient management plans, facility structures, and record-keeping practices.

Q: What happens if a CAFO is found to be non-compliant during an inspection?
A: If a CAFO is found to be non-compliant during an inspection, enforcement actions may be taken, such as issuing violation notices or requiring corrective actions to be implemented.

Q: Is it important for CAFO operators to maintain records?
A: Yes, it is important for CAFO operators to maintain records to demonstrate compliance with regulations and to provide documentation for inspections.

Q: Can individuals report concerns about a CAFO to the authorities?
A: Yes, individuals can report concerns or complaints about a CAFO to the appropriate government agencies, such as the Department of Environmental Quality.

Q: Are there any specific regulations or permits that CAFOs in Virginia must adhere to?
A: Yes, CAFOs in Virginia must adhere to specific regulatory requirements and may need to obtain permits, such as a Virginia Pollution Discharge Elimination System permit.

ADVERTISEMENT

Form Details:

  • The latest edition currently provided by the Virginia Department of Environmental Quality;
  • Ready to use and print;
  • Easy to customize;
  • Compatible with most PDF-viewing applications;
  • Fill out the form in our online filing application.

Download a printable version of the form by clicking the link below or browse more documents and templates provided by the Virginia Department of Environmental Quality.

Download Confined Animal Feeding Operations Inspection Checklist - Virginia

4.6 of 5 (21 votes)
  • Confined Animal Feeding Operations Inspection Checklist - Virginia

    1

  • Confined Animal Feeding Operations Inspection Checklist - Virginia, Page 2

    2

  • Confined Animal Feeding Operations Inspection Checklist - Virginia, Page 3

    3

  • Confined Animal Feeding Operations Inspection Checklist - Virginia, Page 4

    4

  • Confined Animal Feeding Operations Inspection Checklist - Virginia, Page 5

    5

  • Confined Animal Feeding Operations Inspection Checklist - Virginia, Page 6

    6

  • Confined Animal Feeding Operations Inspection Checklist - Virginia, Page 7

    7

  • Confined Animal Feeding Operations Inspection Checklist - Virginia, Page 8

    8

  • Confined Animal Feeding Operations Inspection Checklist - Virginia, Page 9

    9

  • Confined Animal Feeding Operations Inspection Checklist - Virginia, Page 10

    10

  • Confined Animal Feeding Operations Inspection Checklist - Virginia, Page 11

    11

  • Confined Animal Feeding Operations Inspection Checklist - Virginia, Page 12

    12

  • Confined Animal Feeding Operations Inspection Checklist - Virginia, Page 1
  • Confined Animal Feeding Operations Inspection Checklist - Virginia, Page 2
  • Confined Animal Feeding Operations Inspection Checklist - Virginia, Page 3
  • Confined Animal Feeding Operations Inspection Checklist - Virginia, Page 4
  • Confined Animal Feeding Operations Inspection Checklist - Virginia, Page 5
  • Confined Animal Feeding Operations Inspection Checklist - Virginia, Page 6
  • Confined Animal Feeding Operations Inspection Checklist - Virginia, Page 7
  • Confined Animal Feeding Operations Inspection Checklist - Virginia, Page 8
  • Confined Animal Feeding Operations Inspection Checklist - Virginia, Page 9
  • Confined Animal Feeding Operations Inspection Checklist - Virginia, Page 10
  • Confined Animal Feeding Operations Inspection Checklist - Virginia, Page 11
  • Confined Animal Feeding Operations Inspection Checklist - Virginia, Page 12
Prev 1 2 3 4 5 ... 12 Next
ADVERTISEMENT